🇳🇴 🇬🇧 🇩🇪 🇨🇿 🇫🇮

Meteor Storslettin yllä 2018-12-12 22:48:27 UTC

KML-tiedosto  |  Interaktiivinen kartta

Kartta näyttää meteorin suuntahavainnot. Vaaleammat viivat näyttävät suunnat havaintoasemilta meteorin ilmestyessä, ja tummemmat viivat näyttävät, missä se viimeksi nähtiin. Sininen nuoli näyttää meteorin näkyvän lennon.

static map
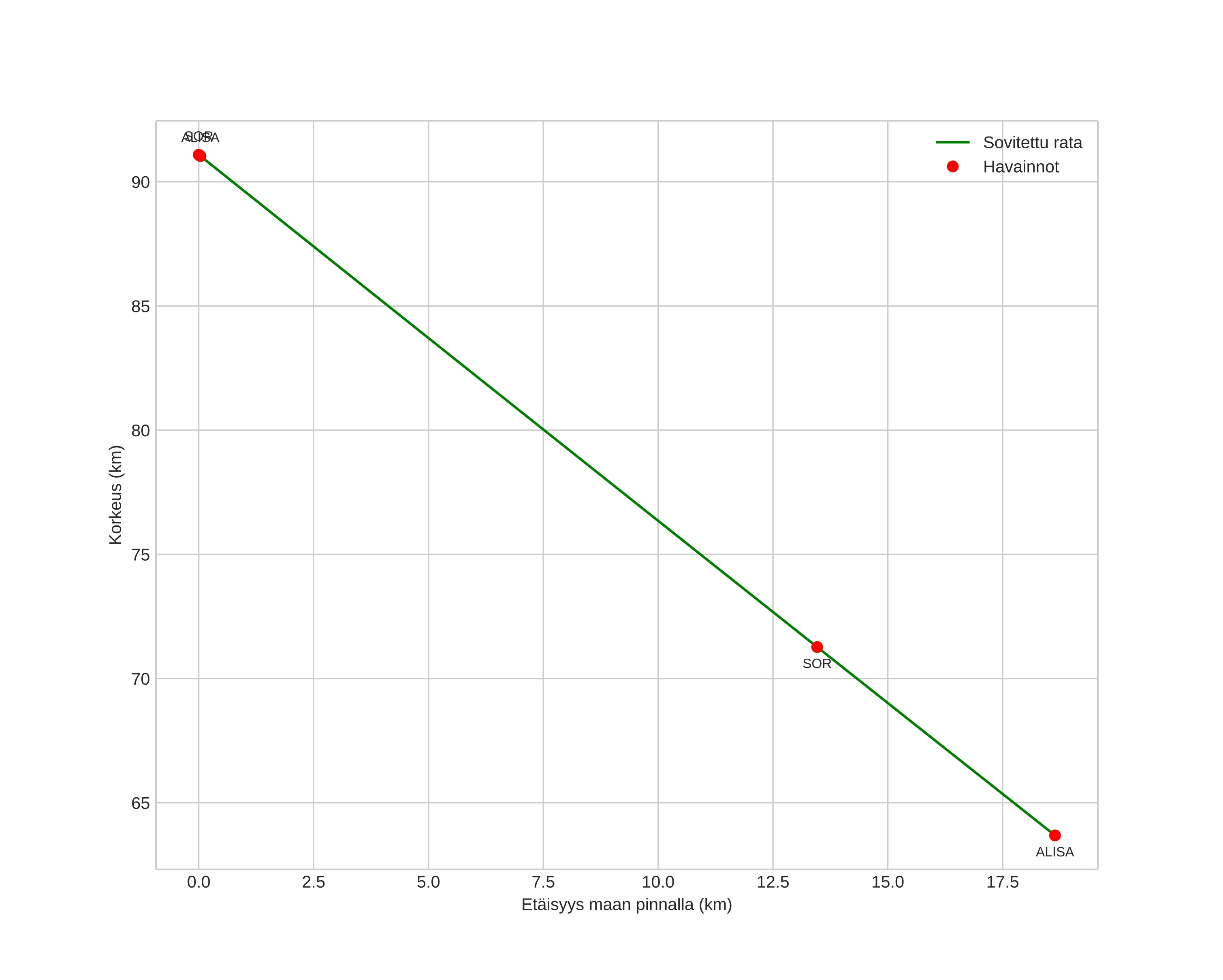
height profile
Meteorin ilmakehärata:
Alkukorkeus: 97,2 km
Loppukorkeus: 64,0 km
Alkupiste: 69,007N 21,643E
Loppupiste: 68,818N 21,424E
Suunta: 202,8°
Kallistuskulma: 55,6°
Tulonopeus: 34,8 km/s
Radiantin R,A,: 14:33 (218,3°)
Radiantin Dekl,: 72,6°
Meteoriparvi: Sporadinen
Meteoroidin rataelementit:
Perihelietäisyys: 0,956 AU
Eksentrisyys: 0,647
Inklinaatio: 55,5°
Nousevan solmun pituus: 260,6°
Perihelin argumentti: 202,0°
Keskianomalia: 356,3°
Epookki: 2018 DEC 12 22:48:27
orbit plot

Ei-interaktiivinen kuvaaja | Interaktiivinen kuvaaja

position vs time
speed and acceleration