🇳🇴 🇬🇧 🇩🇪 🇨🇿 🇫🇮

Meteor, poloha: Storslett 2018-12-12 22:48:27 UTC

Soubor KML  |  InteraktivnĂ­ mapa

Mapa zobrazuje dráhy meteoru. Světlejší čáry ukazují směry od pozorovacích stanic při objevení se meteoru a tmavší čáry, kde byl naposledy viděn. Modrá šipka značí viditelnou dráhu meteoru.

static map
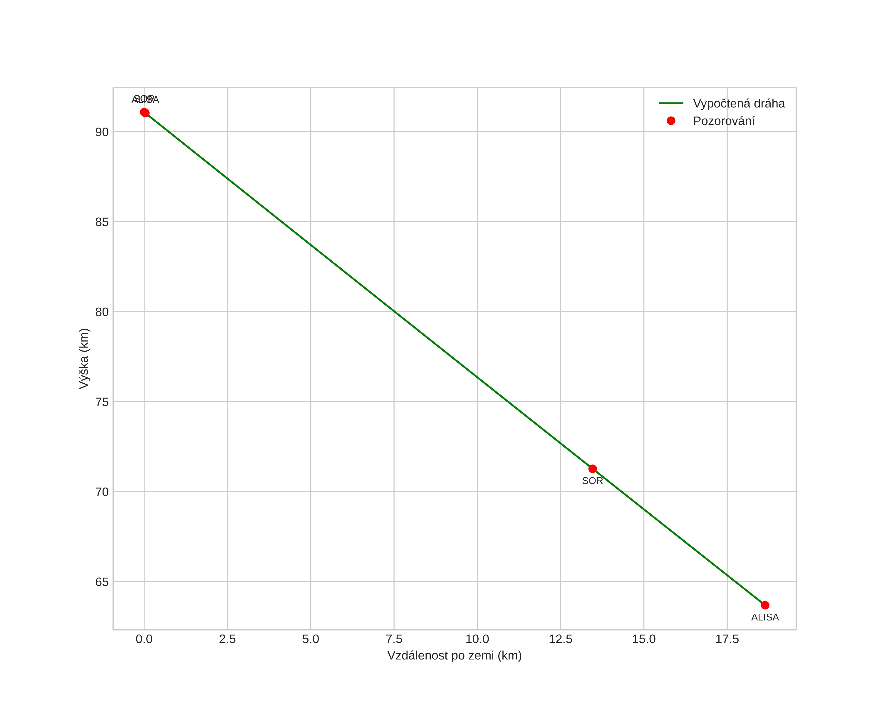
height profile
Atmosférická dráha meteoru:
Počáteční výška: 97,2 km
Konečná výška: 64,0 km
Počáteční poloha: 69,007N 21,643E
Konečná poloha: 68,818N 21,424E
Směr: 202,8°
Sklon: 55,6°
VstupnĂ­ rychlost: 34,8 km/s
Rektascenze radiantu: 14:33 (218,3°)
Deklinace radiantu: 72,6°
MeteorickĂ˝ roj: sporadickĂ˝
Elementy dráhy meteoroidu:
Vzdálenost v periheliu: 0,956 AU
Excentricita: 0,647
Sklon dráhy: 55,5°
Délka vzestupného uzlu: 260,6°
Argument perihelia: 202,0°
Střední anomálie: 356,3°
Epocha: 2018 DEC 12 22:48:27
orbit plot

NeinteraktivnĂ­ graf | InteraktivnĂ­ graf

position vs time
speed and acceleration