🇳🇴 🇬🇧 🇩🇪 🇨🇿 🇫🇮

Meteor, poloha: Narvik 2018-12-20 03:21:44 UTC

Soubor KML  |  InteraktivnĂ­ mapa

Mapa zobrazuje dráhy meteoru. Světlejší čáry ukazují směry od pozorovacích stanic při objevení se meteoru a tmavší čáry, kde byl naposledy viděn. Modrá šipka značí viditelnou dráhu meteoru.

static map
height profile
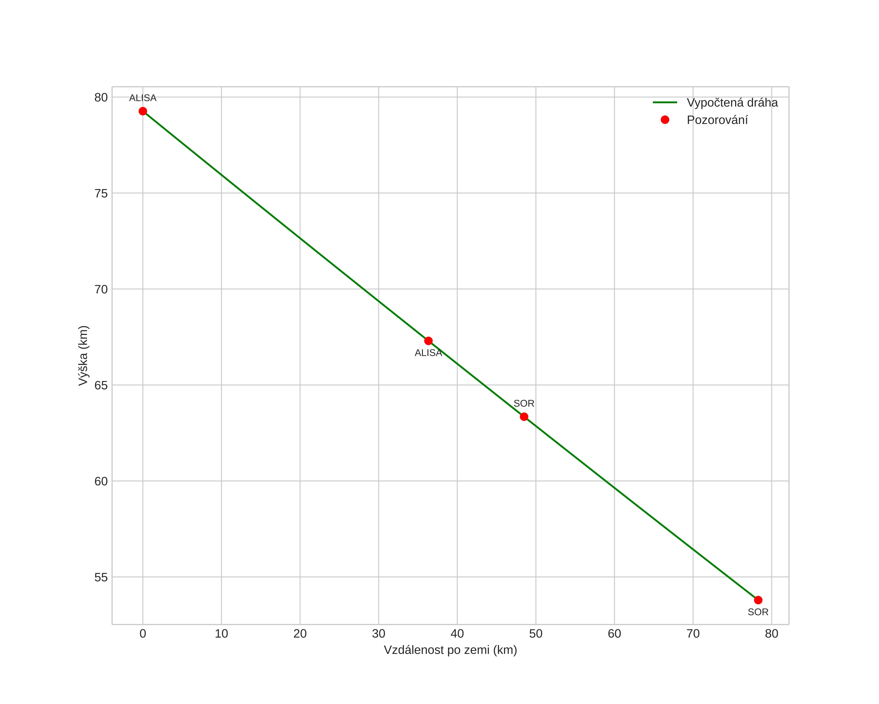
Atmosférická dráha meteoru:
Počáteční výška: 78,5 km
Konečná výška: 52,9 km
Počáteční poloha: 67,654N 17,223E
Konečná poloha: 68,362N 17,352E
Směr: 3,8°
Sklon: 18,0°
VstupnĂ­ rychlost: 36,5 km/s
Rektascenze radiantu: 10:08 (152,0°)
Deklinace radiantu: -6,3°
MeteorickĂ˝ roj: sporadickĂ˝
Elementy dráhy meteoroidu:
Vzdálenost v periheliu: 0,057 AU
Excentricita: 0,901
Sklon dráhy: 94,0°
Délka vzestupného uzlu: 87,9°
Argument perihelia: 171,3°
Střední anomálie: 247,8°
Epocha: 2018 DEC 20 03:21:44
orbit plot

NeinteraktivnĂ­ graf | InteraktivnĂ­ graf

position vs time
speed and acceleration