🇳🇴 🇬🇧 🇩🇪 🇨🇿 🇫🇮

Meteor Narvikin yllä 2018-12-20 03:21:44 UTC

KML-tiedosto  |  Interaktiivinen kartta

Kartta näyttää meteorin suuntahavainnot. Vaaleammat viivat näyttävät suunnat havaintoasemilta meteorin ilmestyessä, ja tummemmat viivat näyttävät, missä se viimeksi nähtiin. Sininen nuoli näyttää meteorin näkyvän lennon.

static map
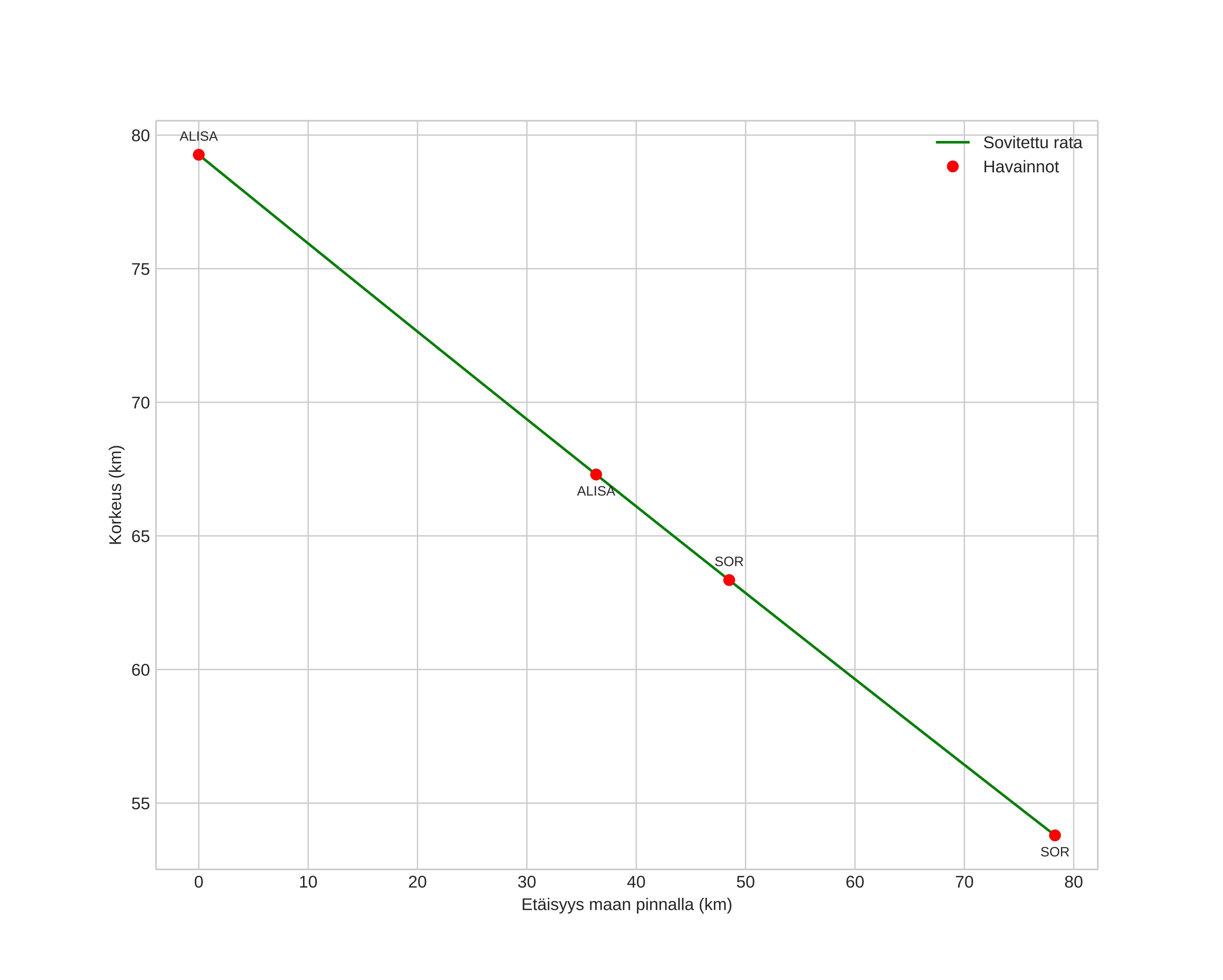
height profile
Meteorin ilmakehärata:
Alkukorkeus: 78,5 km
Loppukorkeus: 52,9 km
Alkupiste: 67,654N 17,223E
Loppupiste: 68,362N 17,352E
Suunta: 3,8°
Kallistuskulma: 18,0°
Tulonopeus: 36,5 km/s
Radiantin R,A,: 10:08 (152,0°)
Radiantin Dekl,: -6,3°
Meteoriparvi: Sporadinen
Meteoroidin rataelementit:
Perihelietäisyys: 0,057 AU
Eksentrisyys: 0,901
Inklinaatio: 94,0°
Nousevan solmun pituus: 87,9°
Perihelin argumentti: 171,3°
Keskianomalia: 247,8°
Epookki: 2018 DEC 20 03:21:44
orbit plot

Ei-interaktiivinen kuvaaja | Interaktiivinen kuvaaja

position vs time
speed and acceleration