🇳🇴 🇬🇧 🇩🇪 🇨🇿 🇫🇮

Meteor, poloha: Tärnsjö 2018-12-24 02:10:43 UTC

Soubor KML  |  InteraktivnĂ­ mapa

Mapa zobrazuje dráhy meteoru. Světlejší čáry ukazují směry od pozorovacích stanic při objevení se meteoru a tmavší čáry, kde byl naposledy viděn. Modrá šipka značí viditelnou dráhu meteoru.

static map
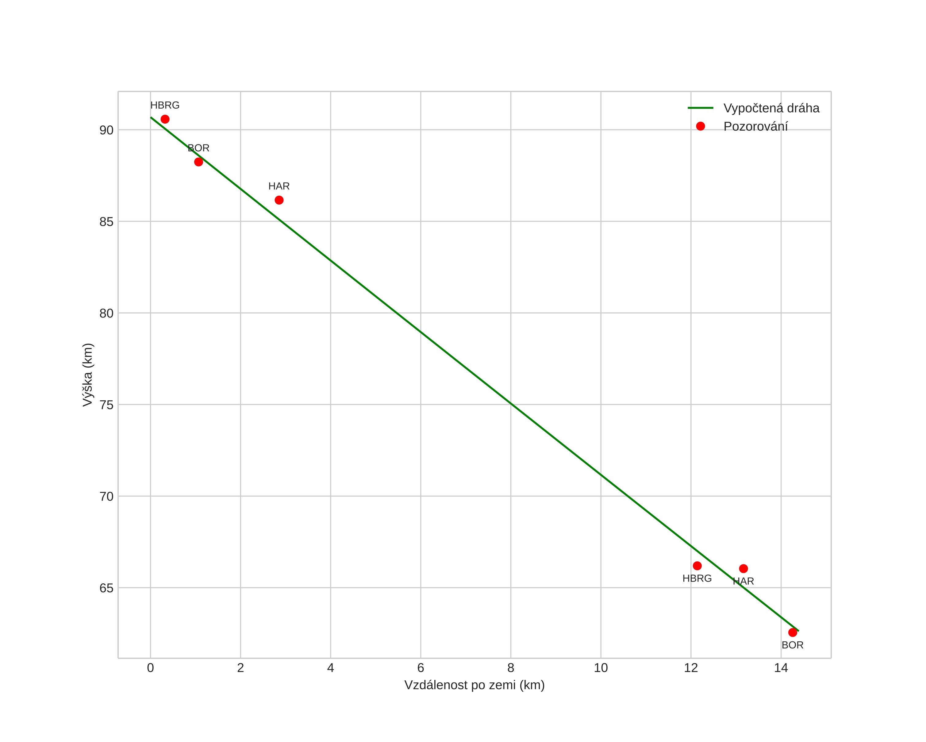
height profile
Atmosférická dráha meteoru:
Počáteční výška: 90,7 km
Konečná výška: 62,6 km
Počáteční poloha: 60,071N 16,701E
Konečná poloha: 60,162N 16,885E
Směr: 45,0°
Sklon: 62,9°
VstupnĂ­ rychlost: 37,6 km/s
Rektascenze radiantu: 07:47 (116,8°)
Deklinace radiantu: 36,9°
MeteorickĂ˝ roj: sporadickĂ˝
Elementy dráhy meteoroidu:
Vzdálenost v periheliu: 0,244 AU
Excentricita: 0,916
Sklon dráhy: 27,7°
Délka vzestupného uzlu: 271,9°
Argument perihelia: 304,9°
Střední anomálie: 352,5°
Epocha: 2018 DEC 24 02:10:43
orbit plot

NeinteraktivnĂ­ graf | InteraktivnĂ­ graf

position vs time
speed and acceleration