🇳🇴 🇬🇧 🇩🇪 🇨🇿 🇫🇮

Meteor Tärnsjöin yllä 2018-12-24 02:10:43 UTC

KML-tiedosto  |  Interaktiivinen kartta

Kartta näyttää meteorin suuntahavainnot. Vaaleammat viivat näyttävät suunnat havaintoasemilta meteorin ilmestyessä, ja tummemmat viivat näyttävät, missä se viimeksi nähtiin. Sininen nuoli näyttää meteorin näkyvän lennon.

static map
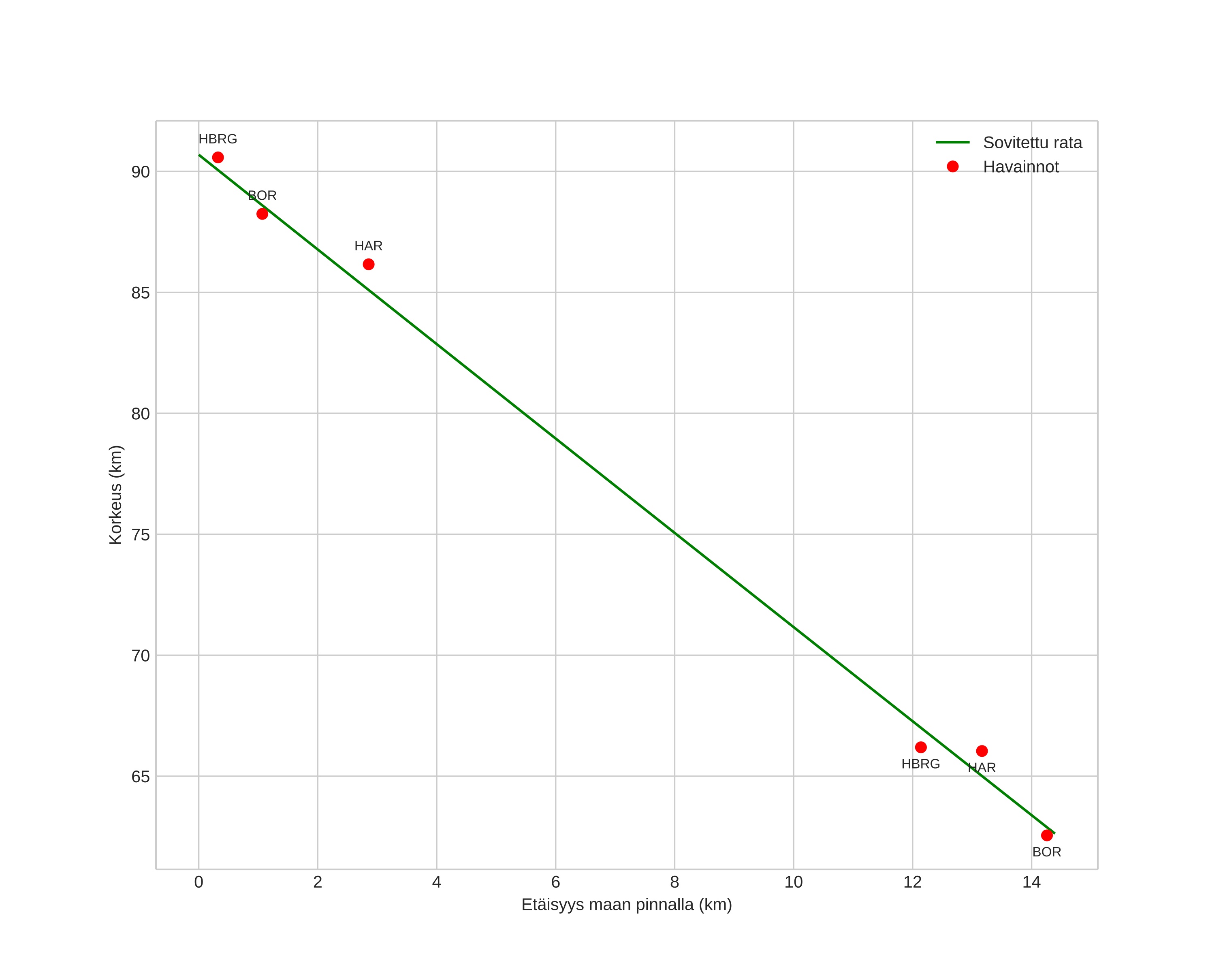
height profile
Meteorin ilmakehärata:
Alkukorkeus: 90,7 km
Loppukorkeus: 62,6 km
Alkupiste: 60,071N 16,701E
Loppupiste: 60,162N 16,885E
Suunta: 45,0°
Kallistuskulma: 62,9°
Tulonopeus: 37,6 km/s
Radiantin R,A,: 07:47 (116,8°)
Radiantin Dekl,: 36,9°
Meteoriparvi: Sporadinen
Meteoroidin rataelementit:
Perihelietäisyys: 0,244 AU
Eksentrisyys: 0,916
Inklinaatio: 27,7°
Nousevan solmun pituus: 271,9°
Perihelin argumentti: 304,9°
Keskianomalia: 352,5°
Epookki: 2018 DEC 24 02:10:43
orbit plot

Ei-interaktiivinen kuvaaja | Interaktiivinen kuvaaja

position vs time
speed and acceleration