🇳🇴 🇬🇧 🇩🇪 🇨🇿 🇫🇮

Meteor, poloha: Utsira 2019-01-02 01:36:29 UTC

Soubor KML  |  InteraktivnĂ­ mapa

Mapa zobrazuje dráhy meteoru. Světlejší čáry ukazují směry od pozorovacích stanic při objevení se meteoru a tmavší čáry, kde byl naposledy viděn. Modrá šipka značí viditelnou dráhu meteoru.

static map
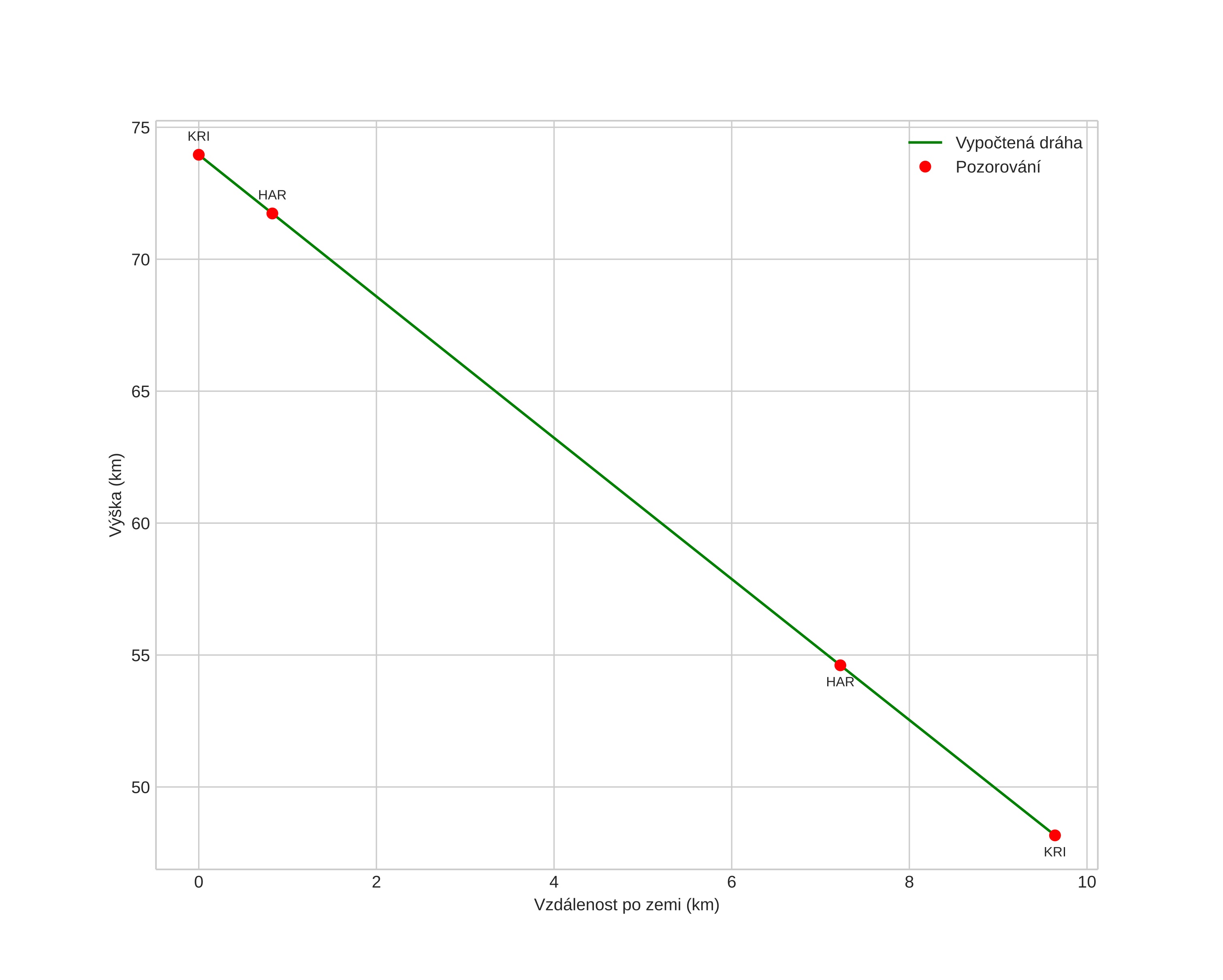
height profile
Atmosférická dráha meteoru:
Počáteční výška: 76,0 km
Konečná výška: 52,5 km
Počáteční poloha: 58,083N 4,285E
Konečná poloha: 58,105N 4,451E
Směr: 75,6°
Sklon: 66,9°
VstupnĂ­ rychlost: 26,0 km/s
Rektascenze radiantu: 06:15 (93,8°)
Deklinace radiantu: 45,6°
MeteorickĂ˝ roj: sporadickĂ˝
Elementy dráhy meteoroidu:
Vzdálenost v periheliu: 0,690 AU
Excentricita: 0,892
Sklon dráhy: 15,0°
Délka vzestupného uzlu: 281,1°
Argument perihelia: 248,5°
Střední anomálie: 357,7°
Epocha: 2019 JAN 02 01:36:29
orbit plot

NeinteraktivnĂ­ graf | InteraktivnĂ­ graf

position vs time
speed and acceleration