🇳🇴 🇬🇧 🇩🇪 🇨🇿 🇫🇮

Meteor Utsiran yllä 2019-01-02 01:36:29 UTC

KML-tiedosto  |  Interaktiivinen kartta

Kartta näyttää meteorin suuntahavainnot. Vaaleammat viivat näyttävät suunnat havaintoasemilta meteorin ilmestyessä, ja tummemmat viivat näyttävät, missä se viimeksi nähtiin. Sininen nuoli näyttää meteorin näkyvän lennon.

static map
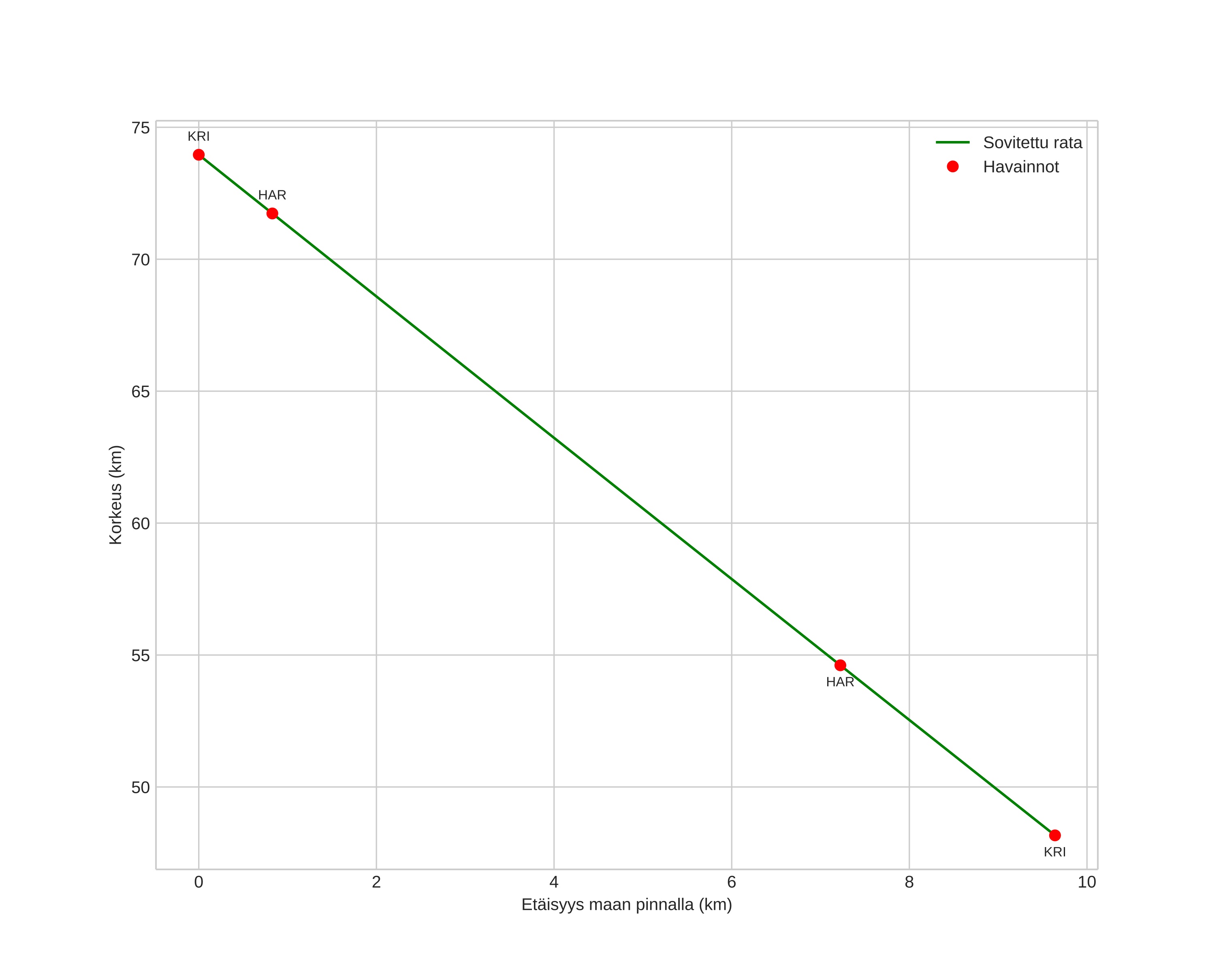
height profile
Meteorin ilmakehärata:
Alkukorkeus: 76,0 km
Loppukorkeus: 52,5 km
Alkupiste: 58,083N 4,285E
Loppupiste: 58,105N 4,451E
Suunta: 75,6°
Kallistuskulma: 66,9°
Tulonopeus: 26,0 km/s
Radiantin R,A,: 06:15 (93,8°)
Radiantin Dekl,: 45,6°
Meteoriparvi: Sporadinen
Meteoroidin rataelementit:
Perihelietäisyys: 0,690 AU
Eksentrisyys: 0,892
Inklinaatio: 15,0°
Nousevan solmun pituus: 281,1°
Perihelin argumentti: 248,5°
Keskianomalia: 357,7°
Epookki: 2019 JAN 02 01:36:29
orbit plot

Ei-interaktiivinen kuvaaja | Interaktiivinen kuvaaja

position vs time
speed and acceleration