🇳🇴 🇬🇧 🇩🇪 🇨🇿 🇫🇮

Meteor, poloha: Straumen 2019-01-02 05:17:02 UTC

Soubor KML  |  InteraktivnĂ­ mapa

Mapa zobrazuje dráhy meteoru. Světlejší čáry ukazují směry od pozorovacích stanic při objevení se meteoru a tmavší čáry, kde byl naposledy viděn. Modrá šipka značí viditelnou dráhu meteoru.

static map
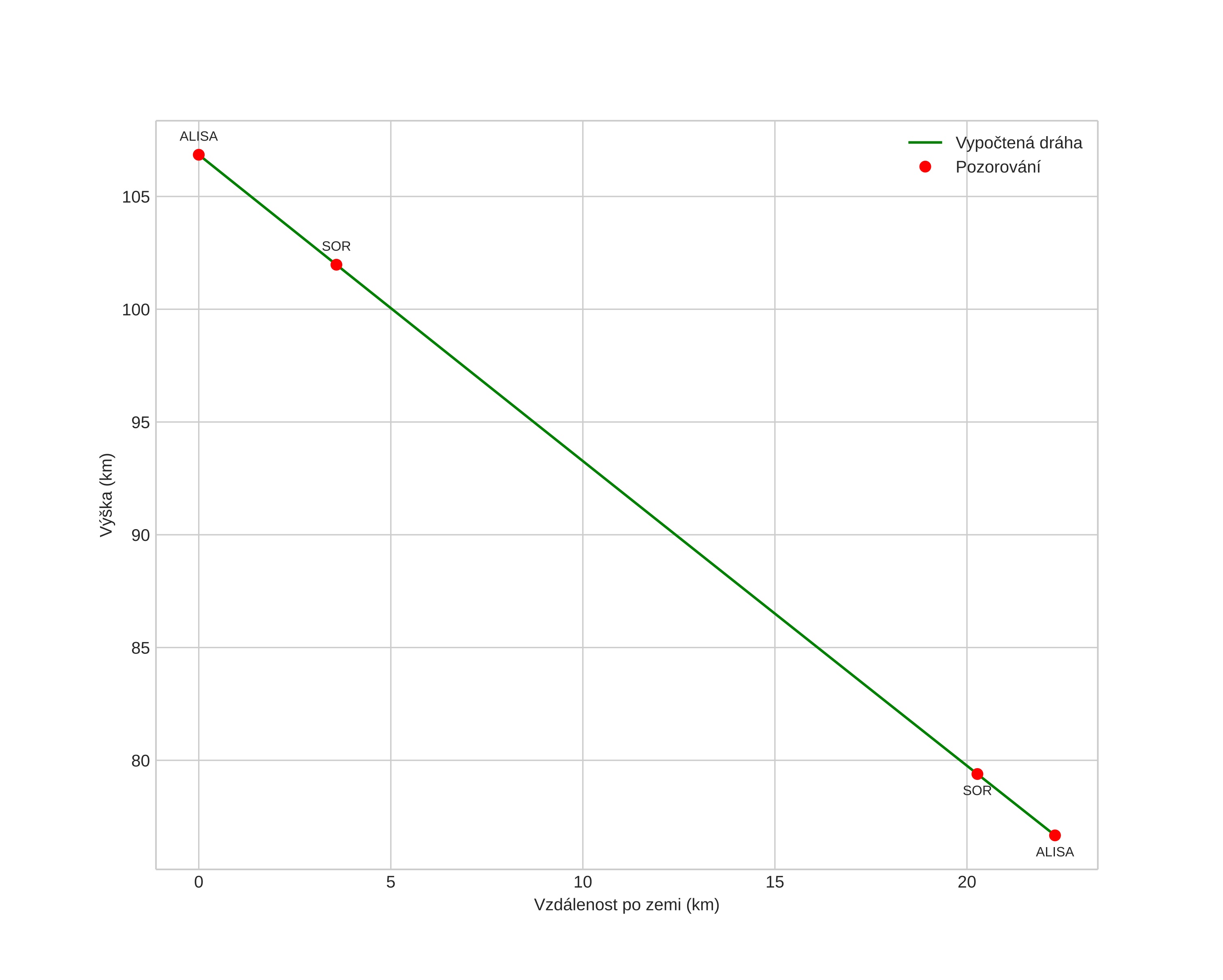
height profile
Atmosférická dráha meteoru:
Počáteční výška: 106,2 km
Konečná výška: 76,6 km
Počáteční poloha: 67,408N 16,950E
Konečná poloha: 67,556N 16,601E
Směr: 318,1°
Sklon: 53,2°
VstupnĂ­ rychlost: 55,1 km/s
Rektascenze radiantu: 15:05 (226,5°)
Deklinace radiantu: 34,3°
MeteorickĂ˝ roj: sporadickĂ˝
Elementy dráhy meteoroidu:
Vzdálenost v periheliu: 0,914 AU
Excentricita: 0,992
Sklon dráhy: 94,5°
Délka vzestupného uzlu: 281,2°
Argument perihelia: 149,1°
Střední anomálie: 0,0°
Epocha: 2019 JAN 02 05:17:02
orbit plot

NeinteraktivnĂ­ graf | InteraktivnĂ­ graf

position vs time
speed and acceleration