🇳🇴 🇬🇧 🇩🇪 🇨🇿 🇫🇮

Meteor Straumenin yllä 2019-01-02 05:17:02 UTC

KML-tiedosto  |  Interaktiivinen kartta

Kartta näyttää meteorin suuntahavainnot. Vaaleammat viivat näyttävät suunnat havaintoasemilta meteorin ilmestyessä, ja tummemmat viivat näyttävät, missä se viimeksi nähtiin. Sininen nuoli näyttää meteorin näkyvän lennon.

static map
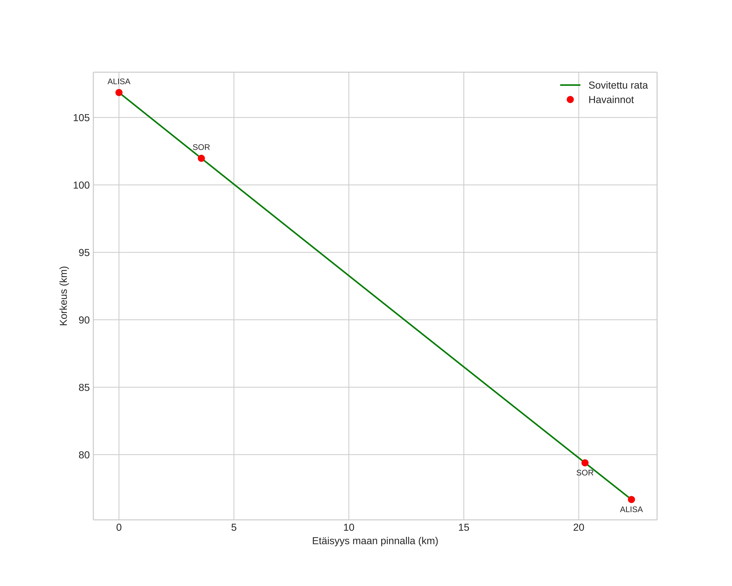
height profile
Meteorin ilmakehärata:
Alkukorkeus: 106,2 km
Loppukorkeus: 76,6 km
Alkupiste: 67,408N 16,950E
Loppupiste: 67,556N 16,601E
Suunta: 318,1°
Kallistuskulma: 53,2°
Tulonopeus: 55,1 km/s
Radiantin R,A,: 15:05 (226,5°)
Radiantin Dekl,: 34,3°
Meteoriparvi: Sporadinen
Meteoroidin rataelementit:
Perihelietäisyys: 0,914 AU
Eksentrisyys: 0,992
Inklinaatio: 94,5°
Nousevan solmun pituus: 281,2°
Perihelin argumentti: 149,1°
Keskianomalia: 0,0°
Epookki: 2019 JAN 02 05:17:02
orbit plot

Ei-interaktiivinen kuvaaja | Interaktiivinen kuvaaja

position vs time
speed and acceleration