🇳🇴 🇬🇧 🇩🇪 🇨🇿 🇫🇮

Meteor, poloha: Noresund 2019-01-02 16:15:14 UTC

Gran – 1
Gran – 1
Harestua – 1
Harestua – 1
Harestua – 4
Harestua – 4
Voksenlia – 2
Voksenlia – 2
Voksenlia – 3
Voksenlia – 3

Soubor KML  | Interaktivní mapa

map

Mapa zobrazuje dráhy meteoru. Světlejší čáry ukazují směry od pozorovacích stanic při objevení se meteoru a tmavší čáry, kde byl naposledy viděn. Modrá šipka značí viditelnou dráhu meteoru.

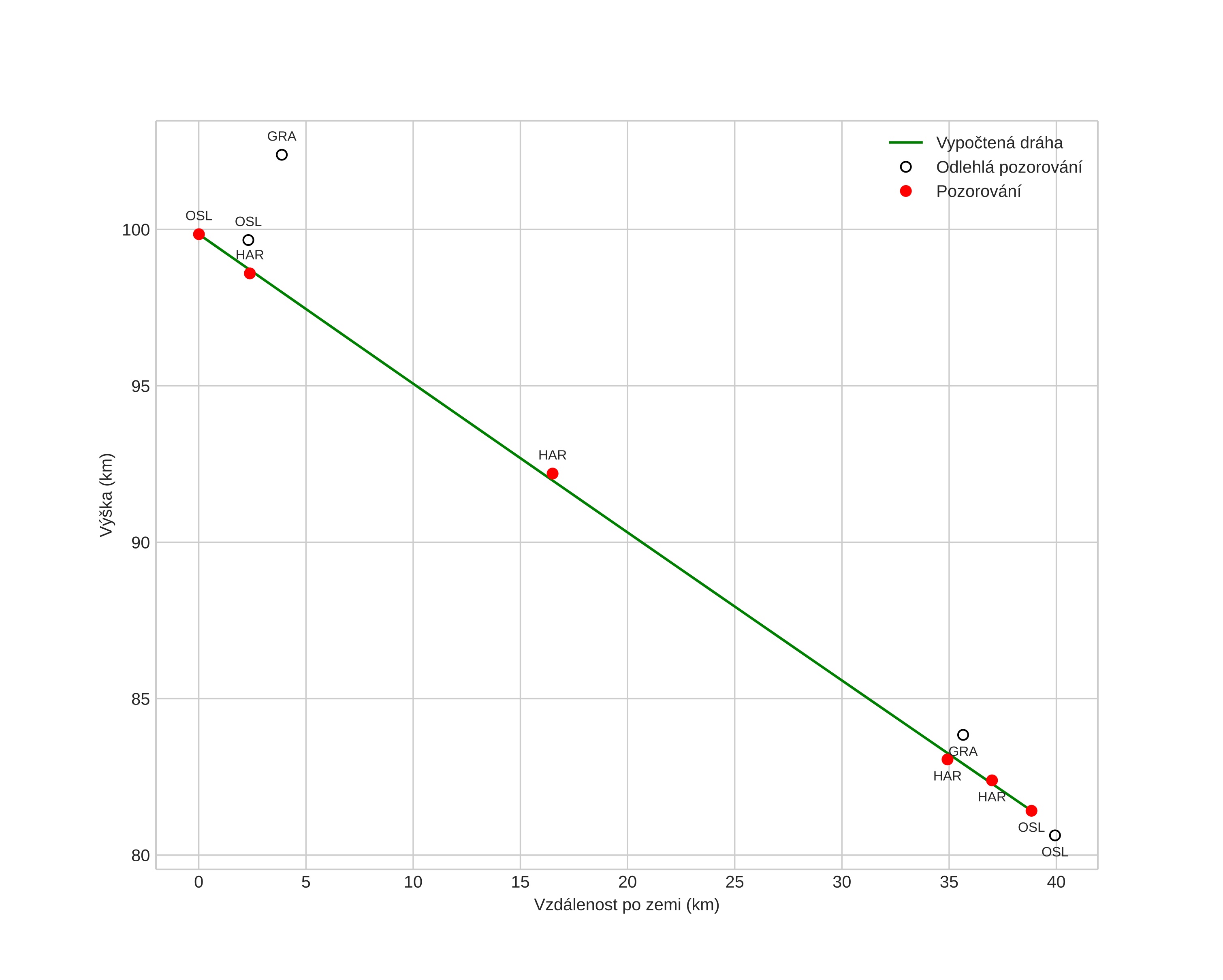
height profile
Atmosférická dráha meteoru:
Počáteční výška: 101,3 km
Konečná výška: 80,4 km
Počáteční poloha: 60,544N 9,285E
Konečná poloha: 60,280N 9,865E
Směr: 132,5°
Sklon: 25,7°
Vstupní rychlost: 42,3 km/s
Rektascenze radiantu: 15:55 (238,8°)
Deklinace radiantu: 41,4°
Meteorický roj: sporadický
Elementy dráhy meteoroidu:
Vzdálenost v periheliu: 0,903 AU
Excentricita: 0,677
Sklon dráhy: 71,2°
Délka vzestupného uzlu: 281,7°
Argument perihelia: 143,0°
Střední anomálie: 5,5°
Epocha: 2019 JAN 02 16:15:14
orbit

Neinteraktivní graf | Interaktivní graf

position vs time
speed & acceleration