🇳🇴 🇬🇧 🇩🇪 🇨🇿 🇫🇮

Meteor über Noresund 2019-01-02 16:15:14 UTC

Gran – 1
Gran – 1
Harestua – 1
Harestua – 1
Harestua – 4
Harestua – 4
Voksenlia – 2
Voksenlia – 2
Voksenlia – 3
Voksenlia – 3

KML-Datei  | Interaktive Karte

map

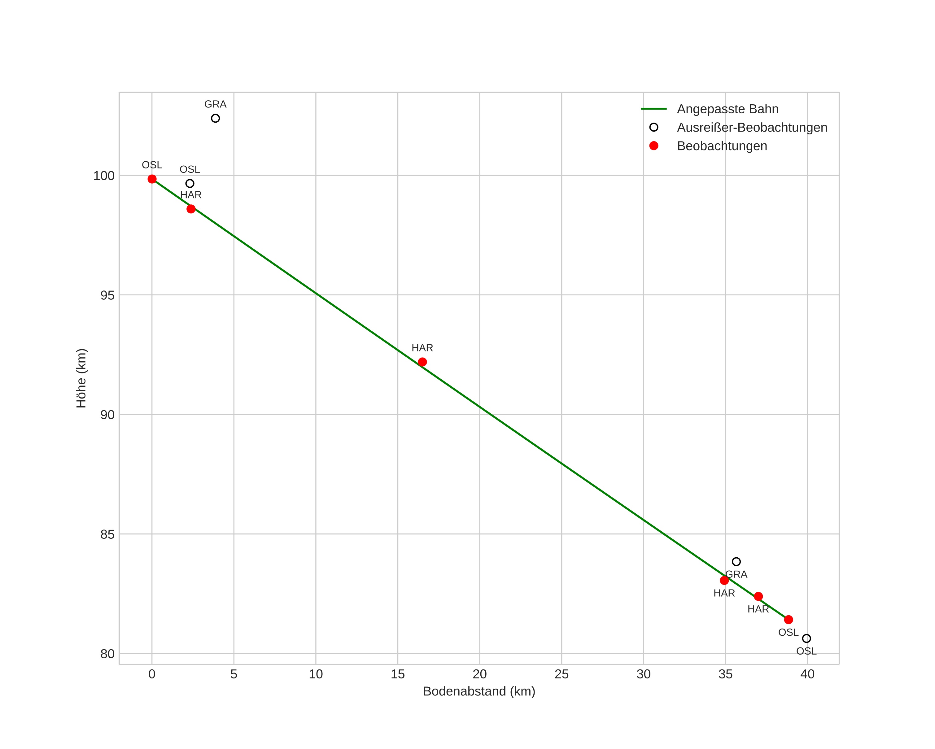
Die Karte zeigt die Peilungen für den Meteor. Die helleren Linien zeigen die Richtungen von den Beobachtungsorten beim Erscheinen des Meteors, und die dunkleren Linien, wo er zuletzt gesehen wurde. Der blaue Pfeil zeigt die sichtbare Bahn des Meteors.

height profile
Atmosphärische Bahn des Meteors:
Anfangshöhe: 101,3 km
Endhöhe: 80,4 km
Startposition: 60,544N 9,285E
Endposition: 60,280N 9,865E
Richtung: 132,5°
Neigungswinkel: 25,7°
Eintrittsgeschwindigkeit: 42,3 km/s
Rektaszension des Radianten: 15:55 (238,8°)
Deklination des Radianten: 41,4°
Meteorstrom: sporadisch
Bahnelemente des Meteoroiden:
Periheldistanz: 0,903 AU
Exzentrizität: 0,677
Inklination: 71,2°
Länge des aufsteigenden Knotens: 281,7°
Argument des Perihels: 143,0°
Mittlere Anomalie: 5,5°
Epoche: 2019 JAN 02 16:15:14
orbit

Nicht-interaktives Diagramm | Interaktives Diagramm

position vs time
speed & acceleration