🇳🇴 🇬🇧 🇩🇪 🇨🇿 🇫🇮

Meteor, poloha: Oppeid 2019-01-03 16:54:34 UTC

Soubor KML  |  InteraktivnĂ­ mapa

Mapa zobrazuje dráhy meteoru. Světlejší čáry ukazují směry od pozorovacích stanic při objevení se meteoru a tmavší čáry, kde byl naposledy viděn. Modrá šipka značí viditelnou dráhu meteoru.

static map
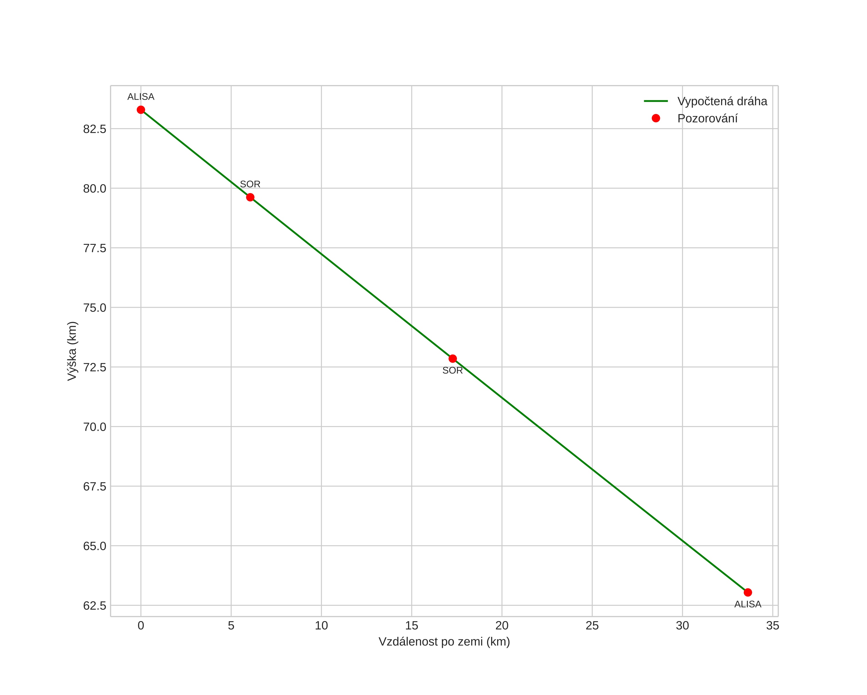
height profile
Atmosférická dráha meteoru:
Počáteční výška: 83,9 km
Konečná výška: 64,4 km
Počáteční poloha: 68,198N 15,628E
Konečná poloha: 67,911N 15,906E
Směr: 160,0°
Sklon: 29,9°
VstupnĂ­ rychlost: 39,7 km/s
Rektascenze radiantu: 14:37 (219,5°)
Deklinace radiantu: 48,6°
MeteorickĂ˝ roj: Kvadrantidy
Elementy dráhy meteoroidu:
Vzdálenost v periheliu: 0,981 AU
Excentricita: 0,306
Sklon dráhy: 72,0°
Délka vzestupného uzlu: 282,8°
Argument perihelia: 187,5°
Střední anomálie: 356,2°
Epocha: 2019 JAN 03 16:54:34
orbit plot

NeinteraktivnĂ­ graf | InteraktivnĂ­ graf

position vs time
speed and acceleration