🇳🇴 🇬🇧 🇩🇪 🇨🇿 🇫🇮

Meteor Oppeidin yllä 2019-01-03 16:54:34 UTC

KML-tiedosto  |  Interaktiivinen kartta

Kartta näyttää meteorin suuntahavainnot. Vaaleammat viivat näyttävät suunnat havaintoasemilta meteorin ilmestyessä, ja tummemmat viivat näyttävät, missä se viimeksi nähtiin. Sininen nuoli näyttää meteorin näkyvän lennon.

static map
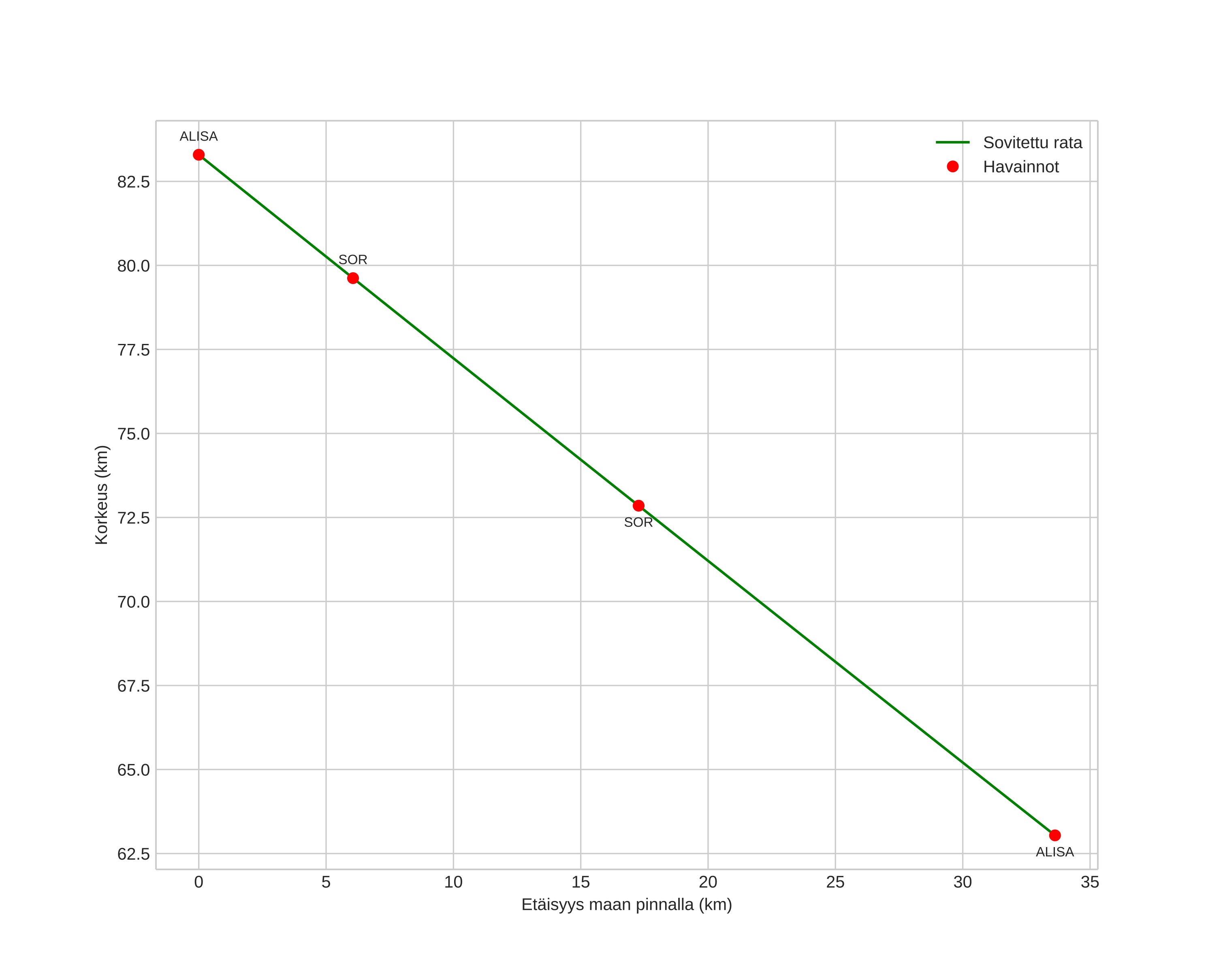
height profile
Meteorin ilmakehärata:
Alkukorkeus: 83,9 km
Loppukorkeus: 64,4 km
Alkupiste: 68,198N 15,628E
Loppupiste: 67,911N 15,906E
Suunta: 160,0°
Kallistuskulma: 29,9°
Tulonopeus: 39,7 km/s
Radiantin R,A,: 14:37 (219,5°)
Radiantin Dekl,: 48,6°
Meteoriparvi: Kvadrantidit
Meteoroidin rataelementit:
Perihelietäisyys: 0,981 AU
Eksentrisyys: 0,306
Inklinaatio: 72,0°
Nousevan solmun pituus: 282,8°
Perihelin argumentti: 187,5°
Keskianomalia: 356,2°
Epookki: 2019 JAN 03 16:54:34
orbit plot

Ei-interaktiivinen kuvaaja | Interaktiivinen kuvaaja

position vs time
speed and acceleration