🇳🇴 🇬🇧 🇩🇪 🇨🇿 🇫🇮

Meteor, poloha: Larkollen 2019-01-14 19:12:36 UTC

Soubor KML  |  InteraktivnĂ­ mapa

Mapa zobrazuje dráhy meteoru. Světlejší čáry ukazují směry od pozorovacích stanic při objevení se meteoru a tmavší čáry, kde byl naposledy viděn. Modrá šipka značí viditelnou dráhu meteoru.

static map
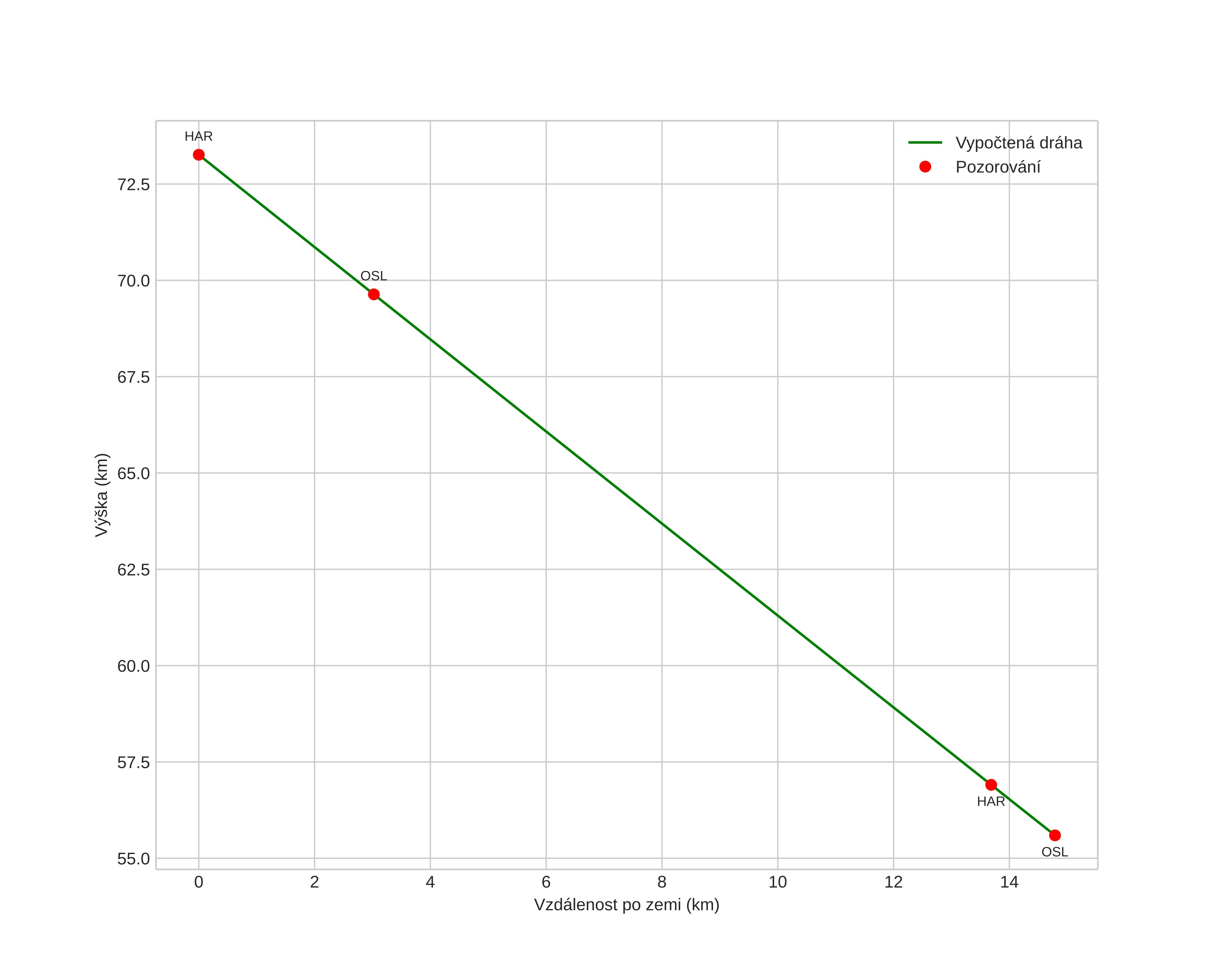
height profile
Atmosférická dráha meteoru:
Počáteční výška: 73,7 km
Konečná výška: 59,9 km
Počáteční poloha: 59,425N 10,569E
Konečná poloha: 59,320N 10,678E
Směr: 151,9°
Sklon: 46,3°
VstupnĂ­ rychlost: 20,8 km/s
Rektascenze radiantu: 19:27 (291,8°)
Deklinace radiantu: 65,3°
MeteorickĂ˝ roj: sporadickĂ˝
Elementy dráhy meteoroidu:
Vzdálenost v periheliu: 0,982 AU
Excentricita: 0,536
Sklon dráhy: 28,1°
Délka vzestupného uzlu: 294,1°
Argument perihelia: 175,1°
Střední anomálie: 1,3°
Epocha: 2019 JAN 14 19:12:36
orbit plot

NeinteraktivnĂ­ graf | InteraktivnĂ­ graf

position vs time
speed and acceleration