🇳🇴 🇬🇧 🇩🇪 🇨🇿 🇫🇮

Meteor über Larkollen 2019-01-14 19:12:36 UTC

KML-Datei  |  Interaktive Karte

Die Karte zeigt die Peilungen für den Meteor. Die helleren Linien zeigen die Richtungen von den Beobachtungsorten beim Erscheinen des Meteors, und die dunkleren Linien, wo er zuletzt gesehen wurde. Der blaue Pfeil zeigt die sichtbare Bahn des Meteors.

static map
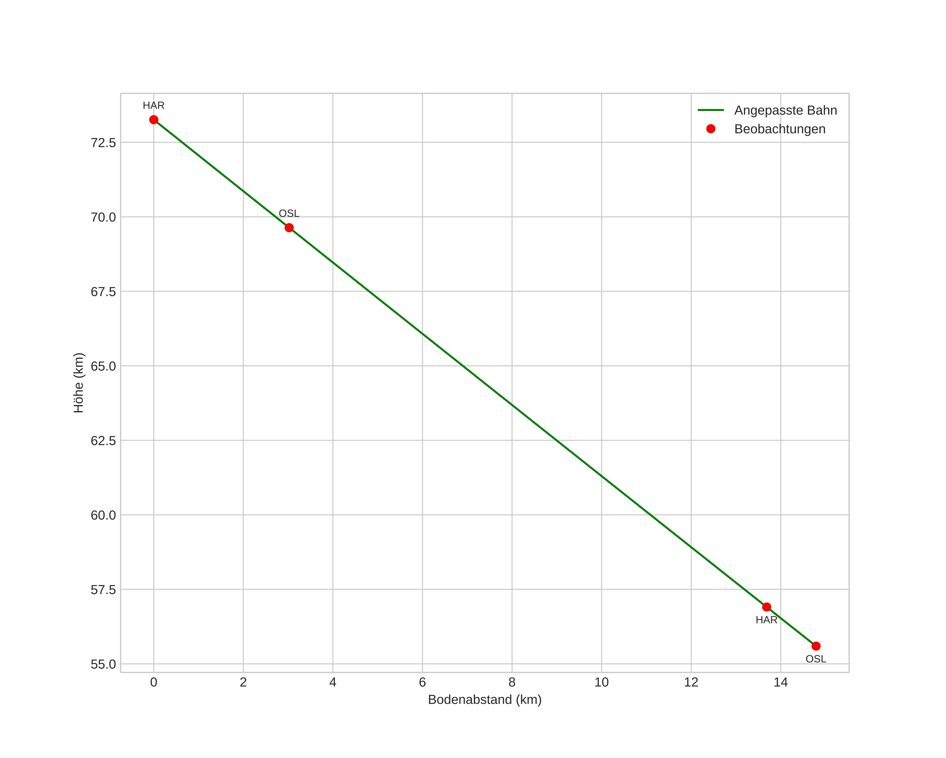
height profile
Atmosphärische Bahn des Meteors:
Anfangshöhe: 73,7 km
Endhöhe: 59,9 km
Startposition: 59,425N 10,569E
Endposition: 59,320N 10,678E
Richtung: 151,9°
Neigungswinkel: 46,3°
Eintrittsgeschwindigkeit: 20,8 km/s
Rektaszension des Radianten: 19:27 (291,8°)
Deklination des Radianten: 65,3°
Meteorstrom: sporadisch
Bahnelemente des Meteoroiden:
Periheldistanz: 0,982 AU
Exzentrizität: 0,536
Inklination: 28,1°
Länge des aufsteigenden Knotens: 294,1°
Argument des Perihels: 175,1°
Mittlere Anomalie: 1,3°
Epoche: 2019 JAN 14 19:12:36
orbit plot

Nicht-interaktives Diagramm | Interaktives Diagramm

position vs time
speed and acceleration