🇳🇴 🇬🇧 🇩🇪 🇨🇿 🇫🇮

Meteor, poloha: Rotnes 2019-01-14 22:10:16 UTC

Soubor KML  |  InteraktivnĂ­ mapa

Mapa zobrazuje dráhy meteoru. Světlejší čáry ukazují směry od pozorovacích stanic při objevení se meteoru a tmavší čáry, kde byl naposledy viděn. Modrá šipka značí viditelnou dráhu meteoru.

static map
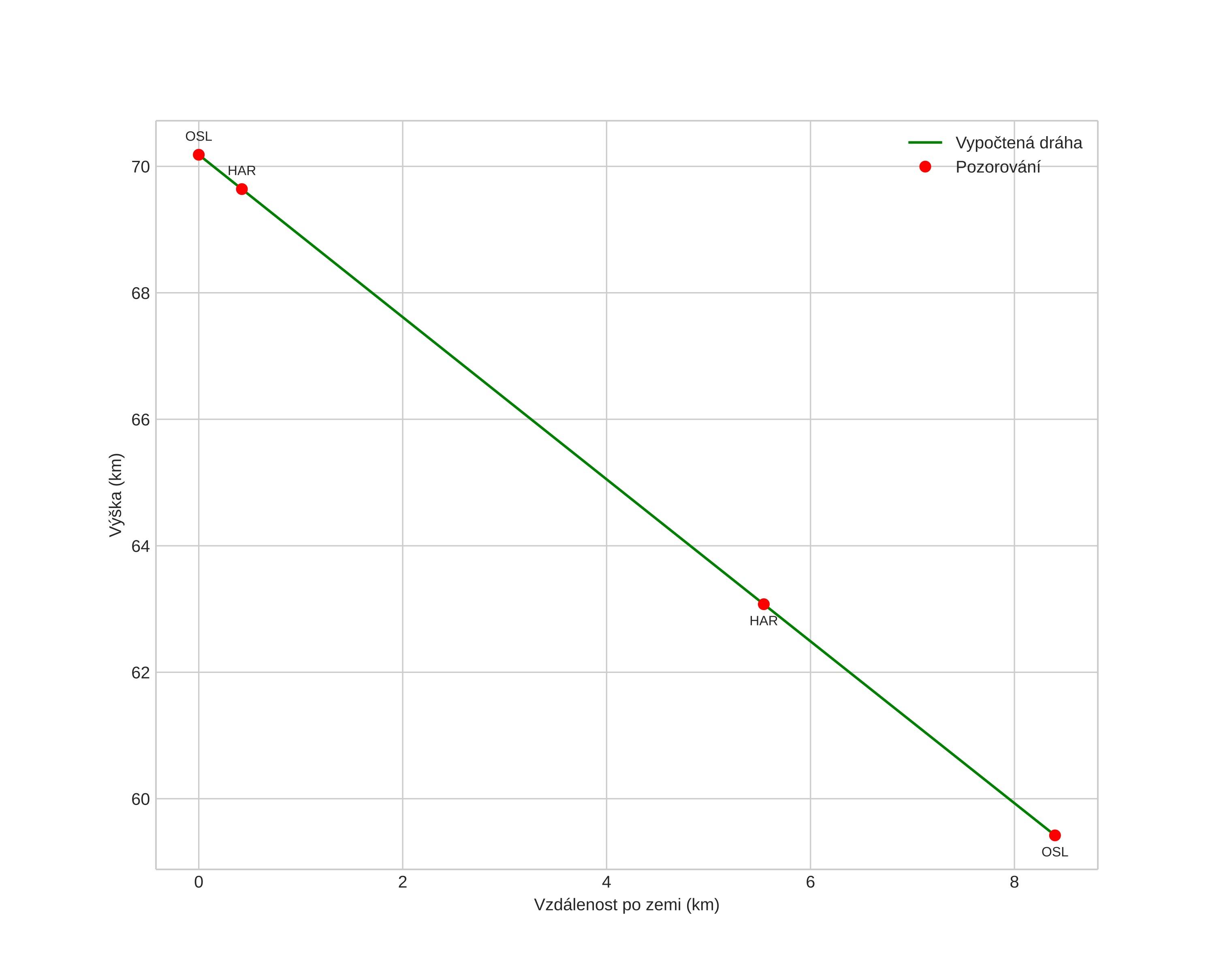
height profile
Atmosférická dráha meteoru:
Počáteční výška: 71,7 km
Konečná výška: 59,6 km
Počáteční poloha: 60,100N 10,844E
Konečná poloha: 60,024N 10,886E
Směr: 164,6°
Sklon: 54,0°
VstupnĂ­ rychlost: 15,3 km/s
Rektascenze radiantu: 21:27 (321,9°)
Deklinace radiantu: 73,5°
MeteorickĂ˝ roj: sporadickĂ˝
Elementy dráhy meteoroidu:
Vzdálenost v periheliu: 0,982 AU
Excentricita: 0,349
Sklon dráhy: 16,7°
Délka vzestupného uzlu: 294,2°
Argument perihelia: 186,8°
Střední anomálie: 356,9°
Epocha: 2019 JAN 14 22:10:16
orbit plot

NeinteraktivnĂ­ graf | InteraktivnĂ­ graf

position vs time
speed and acceleration