🇳🇴 🇬🇧 🇩🇪 🇨🇿 🇫🇮

Meteor Rotnesin yllä 2019-01-14 22:10:16 UTC

KML-tiedosto  |  Interaktiivinen kartta

Kartta näyttää meteorin suuntahavainnot. Vaaleammat viivat näyttävät suunnat havaintoasemilta meteorin ilmestyessä, ja tummemmat viivat näyttävät, missä se viimeksi nähtiin. Sininen nuoli näyttää meteorin näkyvän lennon.

static map
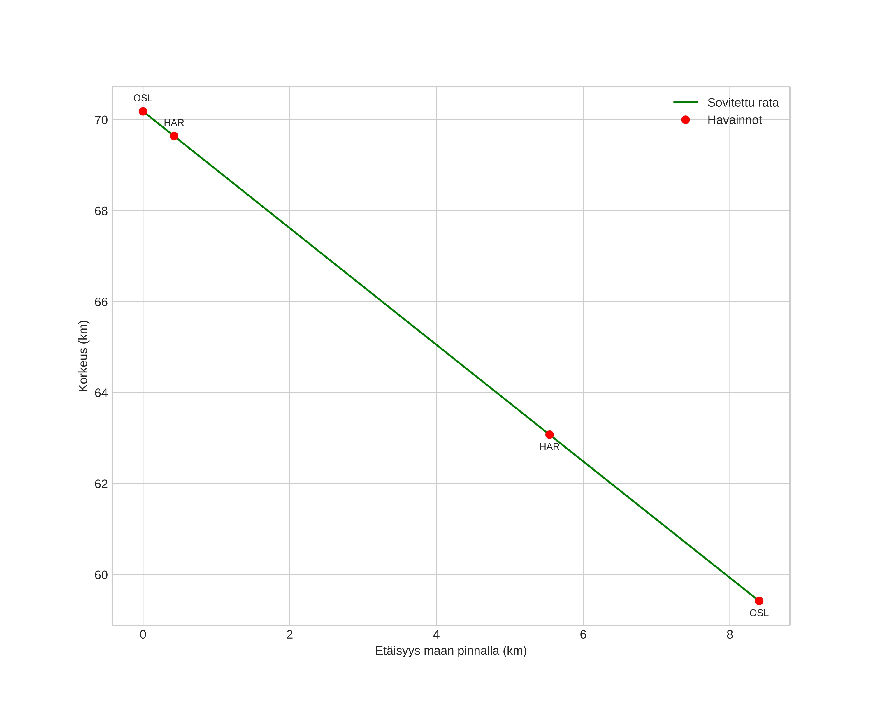
height profile
Meteorin ilmakehärata:
Alkukorkeus: 71,7 km
Loppukorkeus: 59,6 km
Alkupiste: 60,100N 10,844E
Loppupiste: 60,024N 10,886E
Suunta: 164,6°
Kallistuskulma: 54,0°
Tulonopeus: 15,3 km/s
Radiantin R,A,: 21:27 (321,9°)
Radiantin Dekl,: 73,5°
Meteoriparvi: Sporadinen
Meteoroidin rataelementit:
Perihelietäisyys: 0,982 AU
Eksentrisyys: 0,349
Inklinaatio: 16,7°
Nousevan solmun pituus: 294,2°
Perihelin argumentti: 186,8°
Keskianomalia: 356,9°
Epookki: 2019 JAN 14 22:10:16
orbit plot

Ei-interaktiivinen kuvaaja | Interaktiivinen kuvaaja

position vs time
speed and acceleration