🇳🇴 🇬🇧 🇩🇪 🇨🇿 🇫🇮

Meteor, poloha: Straume 2019-01-25 05:37:46 UTC

Soubor KML  |  InteraktivnĂ­ mapa

Mapa zobrazuje dráhy meteoru. Světlejší čáry ukazují směry od pozorovacích stanic při objevení se meteoru a tmavší čáry, kde byl naposledy viděn. Modrá šipka značí viditelnou dráhu meteoru.

static map
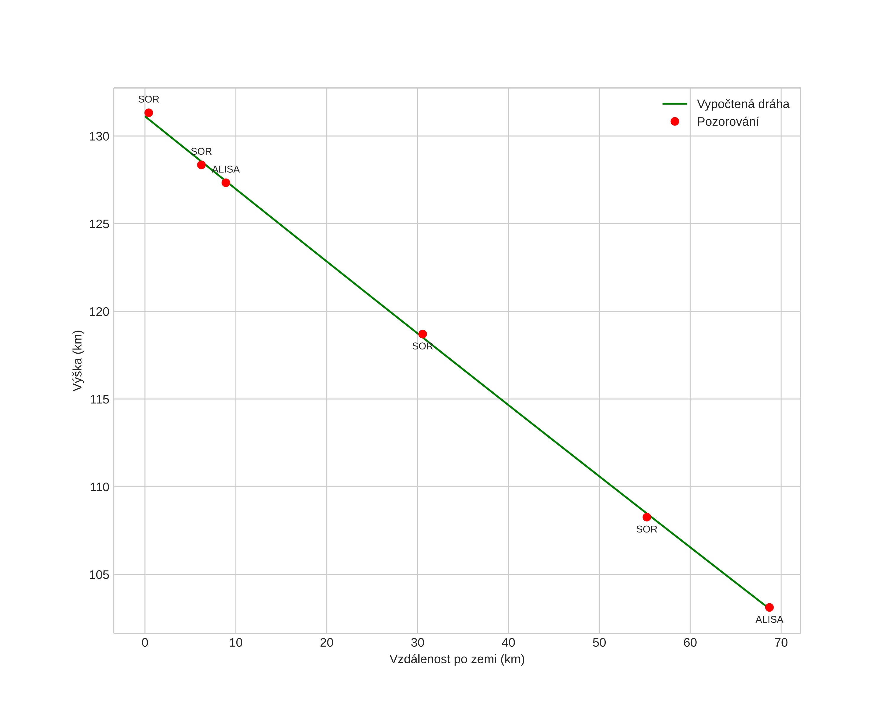
height profile
Atmosférická dráha meteoru:
Počáteční výška: 128,6 km
Konečná výška: 101,3 km
Počáteční poloha: 70,096N 14,379E
Konečná poloha: 70,575N 13,804E
Směr: 338,3°
Sklon: 25,4°
VstupnĂ­ rychlost: 73,0 km/s
Rektascenze radiantu: 16:09 (242,4°)
Deklinace radiantu: 6,4°
MeteorickĂ˝ roj: sporadickĂ˝
Elementy dráhy meteoroidu:
Vzdálenost v periheliu: 0,766 AU
Excentricita: 1,668
Sklon dráhy: 131,0°
Délka vzestupného uzlu: 304,7°
Argument perihelia: 130,2°
Střední anomálie: 19,8°
Epocha: 2019 JAN 25 05:37:46
orbit plot

NeinteraktivnĂ­ graf | InteraktivnĂ­ graf

position vs time
speed and acceleration