🇳🇴 🇬🇧 🇩🇪 🇨🇿 🇫🇮

Meteor Straumen yllä 2019-01-25 05:37:46 UTC

KML-tiedosto  |  Interaktiivinen kartta

Kartta näyttää meteorin suuntahavainnot. Vaaleammat viivat näyttävät suunnat havaintoasemilta meteorin ilmestyessä, ja tummemmat viivat näyttävät, missä se viimeksi nähtiin. Sininen nuoli näyttää meteorin näkyvän lennon.

static map
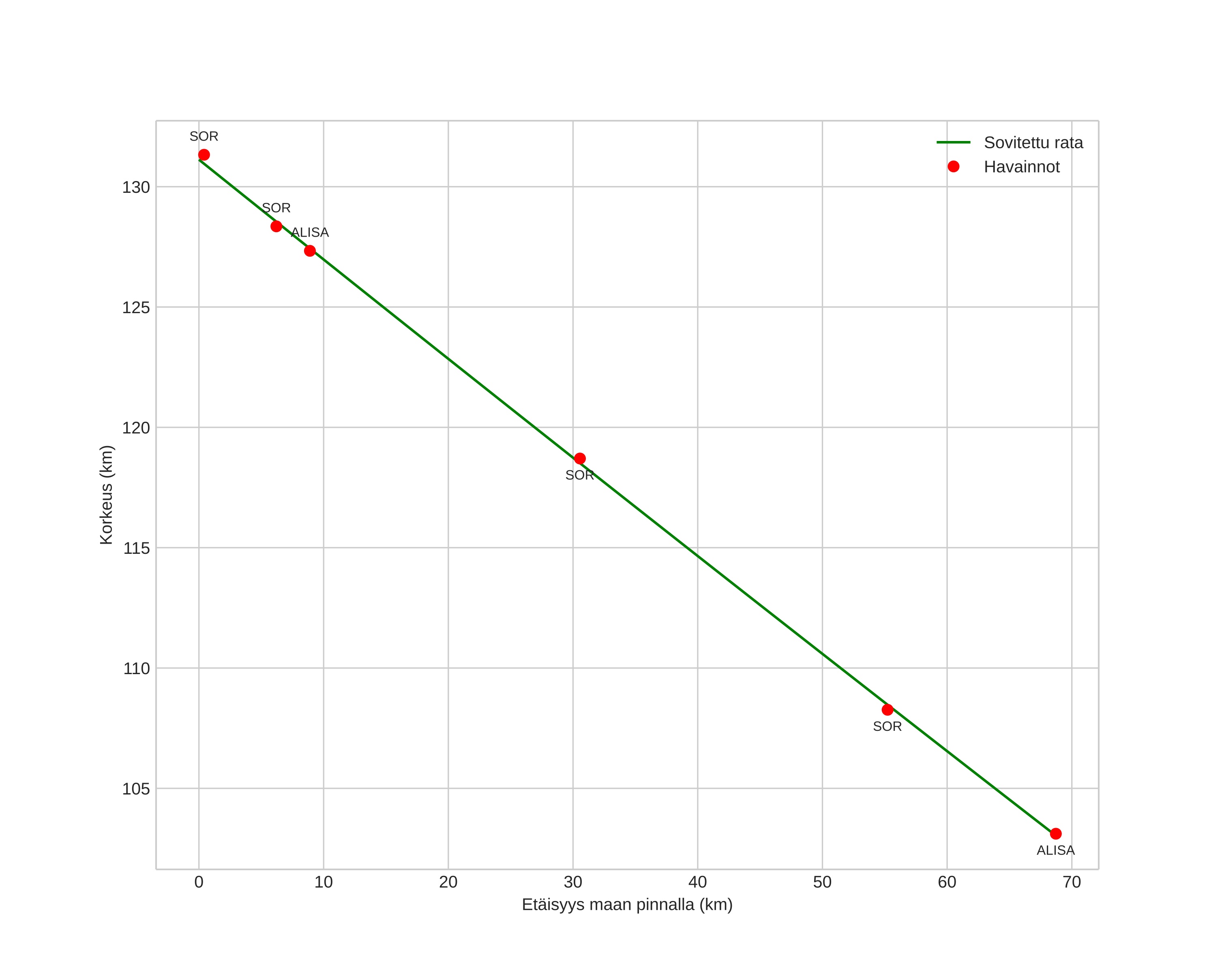
height profile
Meteorin ilmakehärata:
Alkukorkeus: 128,6 km
Loppukorkeus: 101,3 km
Alkupiste: 70,096N 14,379E
Loppupiste: 70,575N 13,804E
Suunta: 338,3°
Kallistuskulma: 25,4°
Tulonopeus: 73,0 km/s
Radiantin R,A,: 16:09 (242,4°)
Radiantin Dekl,: 6,4°
Meteoriparvi: Sporadinen
Meteoroidin rataelementit:
Perihelietäisyys: 0,766 AU
Eksentrisyys: 1,668
Inklinaatio: 131,0°
Nousevan solmun pituus: 304,7°
Perihelin argumentti: 130,2°
Keskianomalia: 19,8°
Epookki: 2019 JAN 25 05:37:46
orbit plot

Ei-interaktiivinen kuvaaja | Interaktiivinen kuvaaja

position vs time
speed and acceleration