🇳🇴 🇬🇧 🇩🇪 🇨🇿 🇫🇮

Meteor, poloha: Bogen 2019-01-26 18:36:19 UTC

Soubor KML  |  InteraktivnĂ­ mapa

Mapa zobrazuje dráhy meteoru. Světlejší čáry ukazují směry od pozorovacích stanic při objevení se meteoru a tmavší čáry, kde byl naposledy viděn. Modrá šipka značí viditelnou dráhu meteoru.

static map
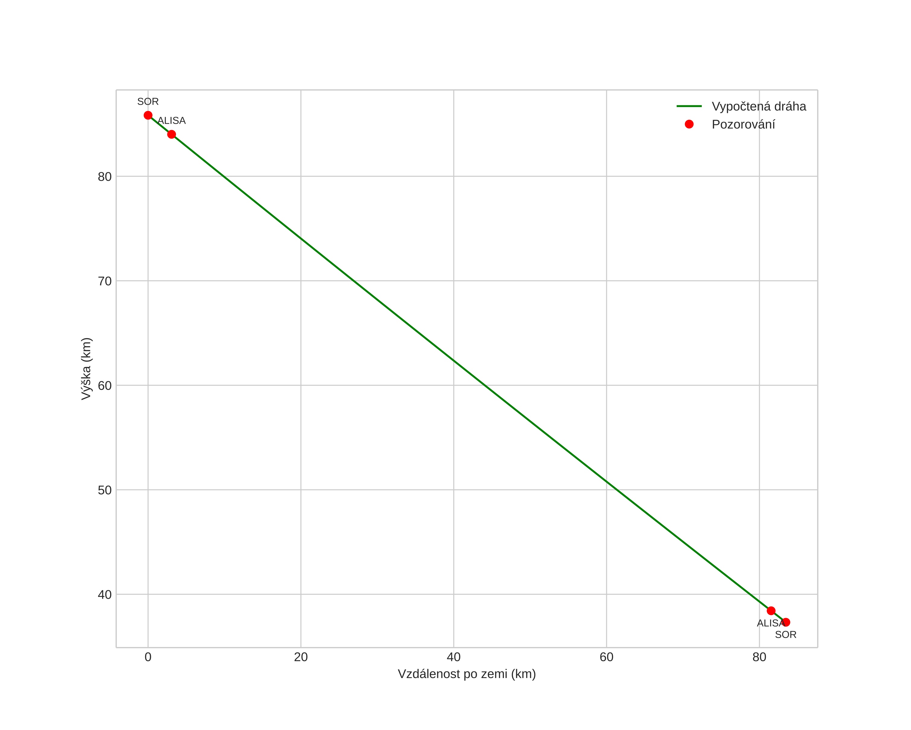
height profile
Atmosférická dráha meteoru:
Počáteční výška: 86,4 km
Konečná výška: 39,1 km
Počáteční poloha: 67,237N 18,834E
Konečná poloha: 67,460N 16,991E
Směr: 288,3°
Sklon: 29,8°
VstupnĂ­ rychlost: 22,8 km/s
Rektascenze radiantu: 08:26 (126,7°)
Deklinace radiantu: 16,6°
MeteorickĂ˝ roj: sporadickĂ˝
Elementy dráhy meteoroidu:
Vzdálenost v periheliu: 0,619 AU
Excentricita: 0,666
Sklon dráhy: 1,6°
Délka vzestupného uzlu: 126,3°
Argument perihelia: 85,9°
Střední anomálie: 341,8°
Epocha: 2019 JAN 26 18:36:19
orbit plot

NeinteraktivnĂ­ graf | InteraktivnĂ­ graf

position vs time
speed and acceleration