🇳🇴 🇬🇧 🇩🇪 🇨🇿 🇫🇮

Meteor Bogenin yllä 2019-01-26 18:36:19 UTC

KML-tiedosto  |  Interaktiivinen kartta

Kartta näyttää meteorin suuntahavainnot. Vaaleammat viivat näyttävät suunnat havaintoasemilta meteorin ilmestyessä, ja tummemmat viivat näyttävät, missä se viimeksi nähtiin. Sininen nuoli näyttää meteorin näkyvän lennon.

static map
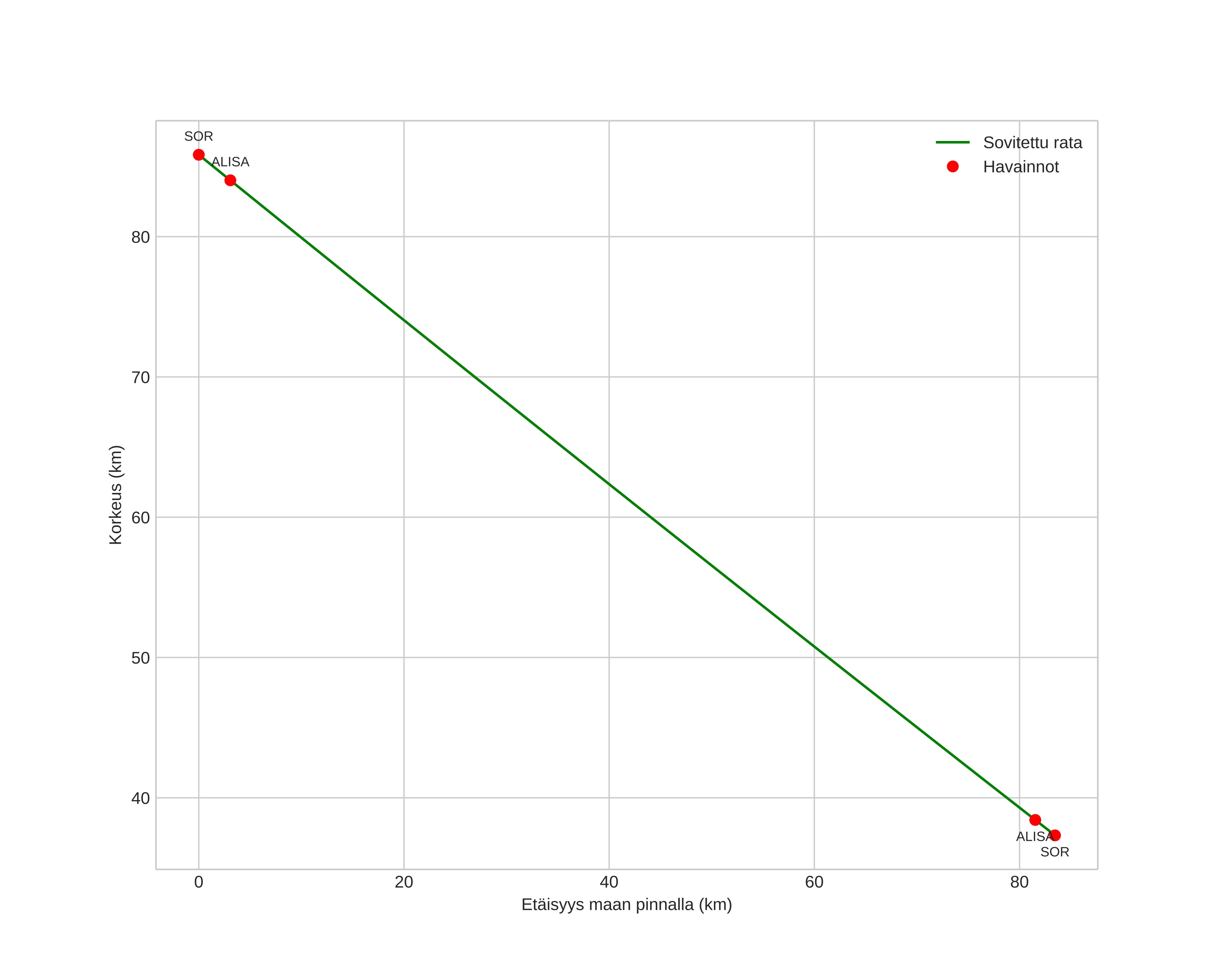
height profile
Meteorin ilmakehärata:
Alkukorkeus: 86,4 km
Loppukorkeus: 39,1 km
Alkupiste: 67,237N 18,834E
Loppupiste: 67,460N 16,991E
Suunta: 288,3°
Kallistuskulma: 29,8°
Tulonopeus: 22,8 km/s
Radiantin R,A,: 08:26 (126,7°)
Radiantin Dekl,: 16,6°
Meteoriparvi: Sporadinen
Meteoroidin rataelementit:
Perihelietäisyys: 0,619 AU
Eksentrisyys: 0,666
Inklinaatio: 1,6°
Nousevan solmun pituus: 126,3°
Perihelin argumentti: 85,9°
Keskianomalia: 341,8°
Epookki: 2019 JAN 26 18:36:19
orbit plot

Ei-interaktiivinen kuvaaja | Interaktiivinen kuvaaja

position vs time
speed and acceleration