🇳🇴 🇬🇧 🇩🇪 🇨🇿 🇫🇮

Meteor, poloha: Tomter 2019-01-29 17:02:19 UTC

Soubor KML  |  InteraktivnĂ­ mapa

Mapa zobrazuje dráhy meteoru. Světlejší čáry ukazují směry od pozorovacích stanic při objevení se meteoru a tmavší čáry, kde byl naposledy viděn. Modrá šipka značí viditelnou dráhu meteoru.

static map
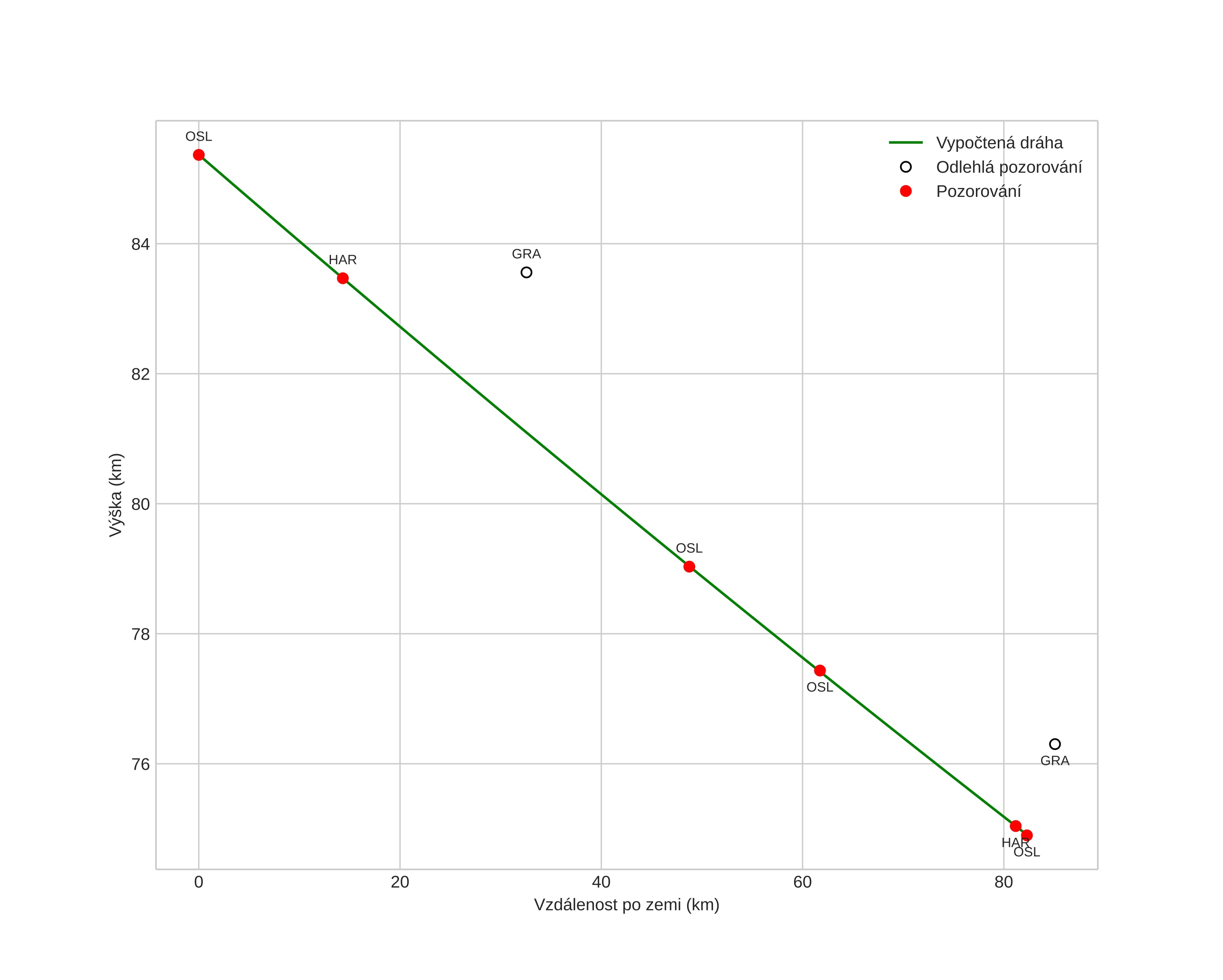
height profile
Atmosférická dráha meteoru:
Počáteční výška: 97,9 km
Konečná výška: 83,2 km
Počáteční poloha: 59,142N 9,634E
Konečná poloha: 59,697N 10,960E
Směr: 50,0°
Sklon: 8,6°
VstupnĂ­ rychlost: 19,6 km/s
Rektascenze radiantu: 22:34 (338,5°)
Deklinace radiantu: -19,8°
MeteorickĂ˝ roj: sporadickĂ˝
Elementy dráhy meteoroidu:
Vzdálenost v periheliu: 0,825 AU
Excentricita: 0,794
Sklon dráhy: 4,4°
Délka vzestupného uzlu: 129,3°
Argument perihelia: 309,3°
Střední anomálie: 4,0°
Epocha: 2019 JAN 29 17:02:19
orbit plot

NeinteraktivnĂ­ graf | InteraktivnĂ­ graf

position vs time
speed and acceleration