🇳🇴 🇬🇧 🇩🇪 🇨🇿 🇫🇮

Meteor über Tomter 2019-01-29 17:02:19 UTC

KML-Datei  |  Interaktive Karte

Die Karte zeigt die Peilungen für den Meteor. Die helleren Linien zeigen die Richtungen von den Beobachtungsorten beim Erscheinen des Meteors, und die dunkleren Linien, wo er zuletzt gesehen wurde. Der blaue Pfeil zeigt die sichtbare Bahn des Meteors.

static map
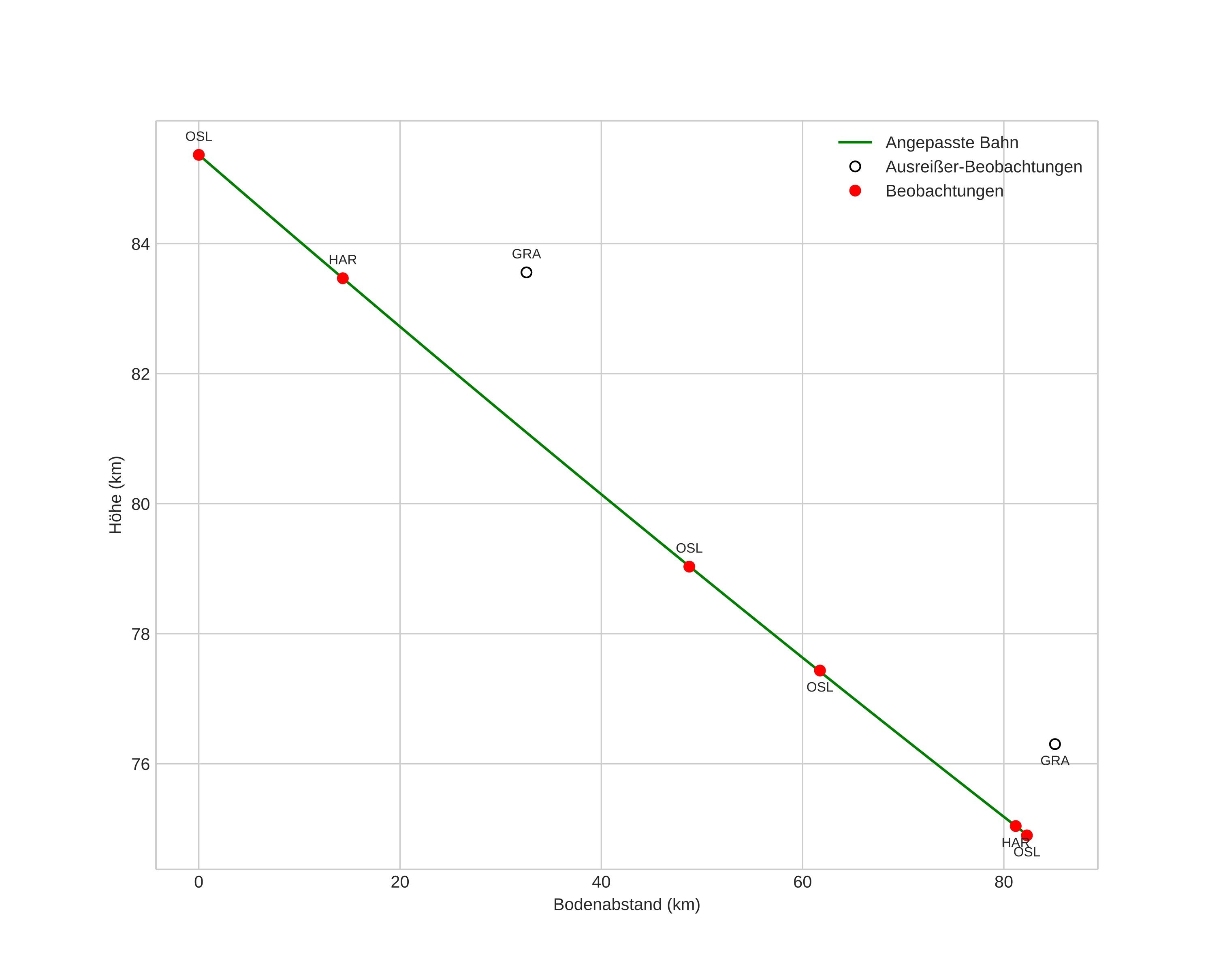
height profile
Atmosphärische Bahn des Meteors:
Anfangshöhe: 97,9 km
Endhöhe: 83,2 km
Startposition: 59,142N 9,634E
Endposition: 59,697N 10,960E
Richtung: 50,0°
Neigungswinkel: 8,6°
Eintrittsgeschwindigkeit: 19,6 km/s
Rektaszension des Radianten: 22:34 (338,5°)
Deklination des Radianten: -19,8°
Meteorstrom: sporadisch
Bahnelemente des Meteoroiden:
Periheldistanz: 0,825 AU
Exzentrizität: 0,794
Inklination: 4,4°
Länge des aufsteigenden Knotens: 129,3°
Argument des Perihels: 309,3°
Mittlere Anomalie: 4,0°
Epoche: 2019 JAN 29 17:02:19
orbit plot

Nicht-interaktives Diagramm | Interaktives Diagramm

position vs time
speed and acceleration