🇳🇴 🇬🇧 🇩🇪 🇨🇿 🇫🇮

Meteor, poloha: Arjeplog 2019-01-31 22:54:52 UTC

Soubor KML  |  InteraktivnĂ­ mapa

Mapa zobrazuje dráhy meteoru. Světlejší čáry ukazují směry od pozorovacích stanic při objevení se meteoru a tmavší čáry, kde byl naposledy viděn. Modrá šipka značí viditelnou dráhu meteoru.

static map
height profile
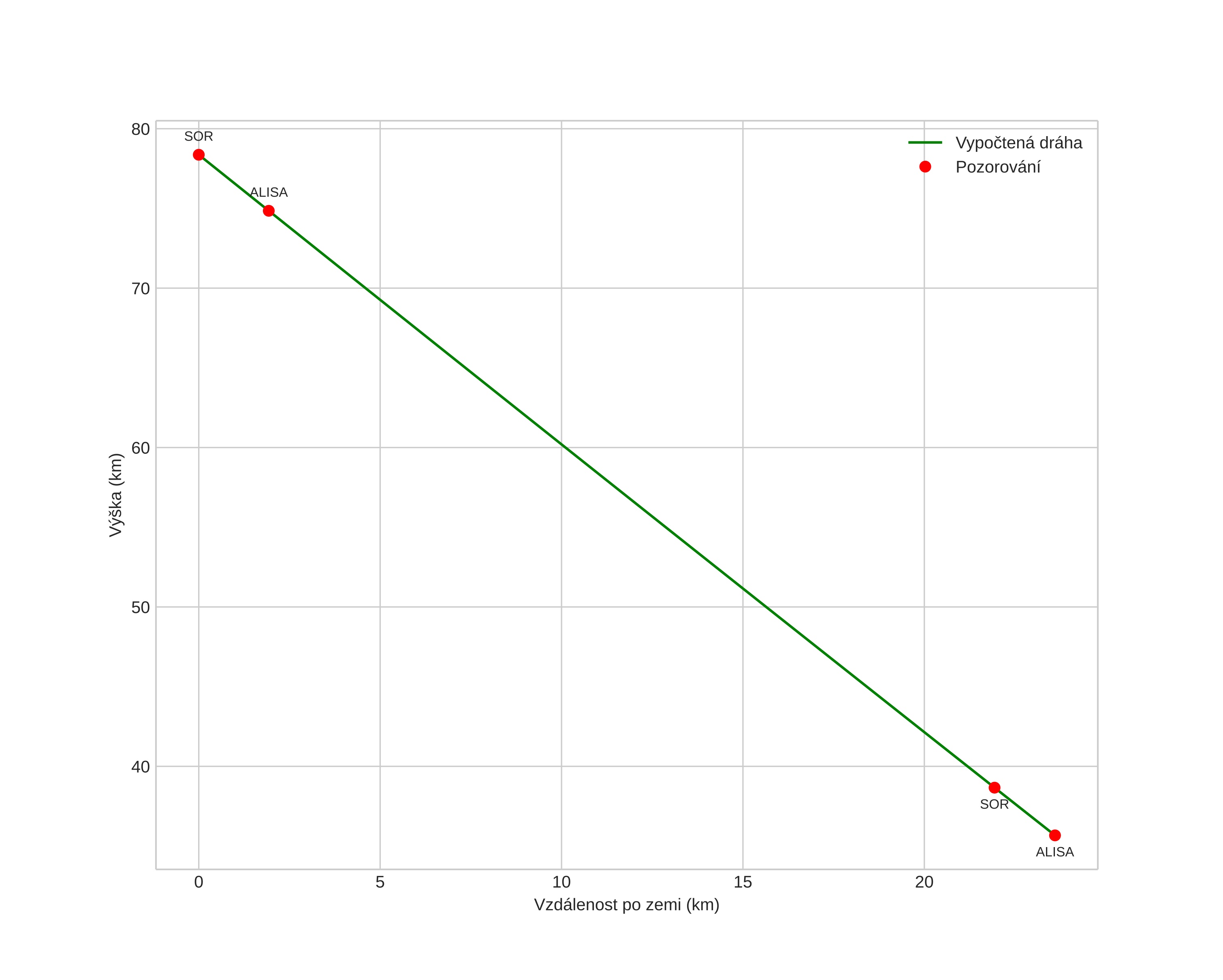
Atmosférická dráha meteoru:
Počáteční výška: 82,6 km
Konečná výška: 35,8 km
Počáteční poloha: 67,063N 18,052E
Konečná poloha: 67,244N 17,675E
Směr: 321,3°
Sklon: 61,0°
VstupnĂ­ rychlost: 27,4 km/s
Rektascenze radiantu: 10:24 (156,0°)
Deklinace radiantu: 40,0°
MeteorickĂ˝ roj: sporadickĂ˝
Elementy dráhy meteoroidu:
Vzdálenost v periheliu: 0,530 AU
Excentricita: 0,687
Sklon dráhy: 24,0°
Délka vzestupného uzlu: 311,5°
Argument perihelia: 277,7°
Střední anomálie: 338,7°
Epocha: 2019 JAN 31 22:54:52
orbit plot

NeinteraktivnĂ­ graf | InteraktivnĂ­ graf

position vs time
speed and acceleration