🇳🇴 🇬🇧 🇩🇪 🇨🇿 🇫🇮

Meteor Arjeplogin yllä 2019-01-31 22:54:52 UTC

KML-tiedosto  |  Interaktiivinen kartta

Kartta näyttää meteorin suuntahavainnot. Vaaleammat viivat näyttävät suunnat havaintoasemilta meteorin ilmestyessä, ja tummemmat viivat näyttävät, missä se viimeksi nähtiin. Sininen nuoli näyttää meteorin näkyvän lennon.

static map
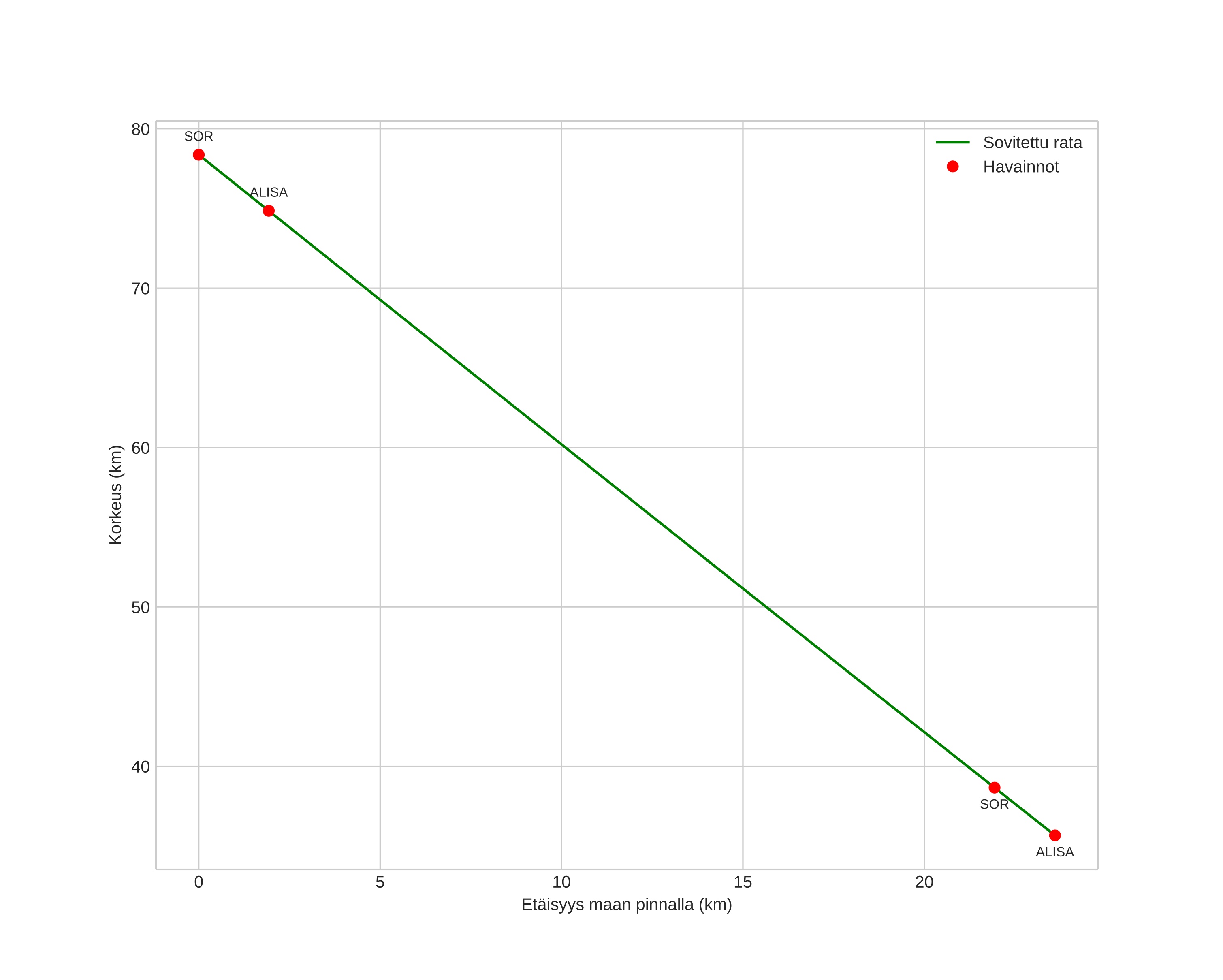
height profile
Meteorin ilmakehärata:
Alkukorkeus: 82,6 km
Loppukorkeus: 35,8 km
Alkupiste: 67,063N 18,052E
Loppupiste: 67,244N 17,675E
Suunta: 321,3°
Kallistuskulma: 61,0°
Tulonopeus: 27,4 km/s
Radiantin R,A,: 10:24 (156,0°)
Radiantin Dekl,: 40,0°
Meteoriparvi: Sporadinen
Meteoroidin rataelementit:
Perihelietäisyys: 0,530 AU
Eksentrisyys: 0,687
Inklinaatio: 24,0°
Nousevan solmun pituus: 311,5°
Perihelin argumentti: 277,7°
Keskianomalia: 338,7°
Epookki: 2019 JAN 31 22:54:52
orbit plot

Ei-interaktiivinen kuvaaja | Interaktiivinen kuvaaja

position vs time
speed and acceleration