🇳🇴 🇬🇧 🇩🇪 🇨🇿 🇫🇮

Meteor, poloha: Brøstadbotn 2019-02-01 21:07:49 UTC

Soubor KML  |  InteraktivnĂ­ mapa

Mapa zobrazuje dráhy meteoru. Světlejší čáry ukazují směry od pozorovacích stanic při objevení se meteoru a tmavší čáry, kde byl naposledy viděn. Modrá šipka značí viditelnou dráhu meteoru.

static map
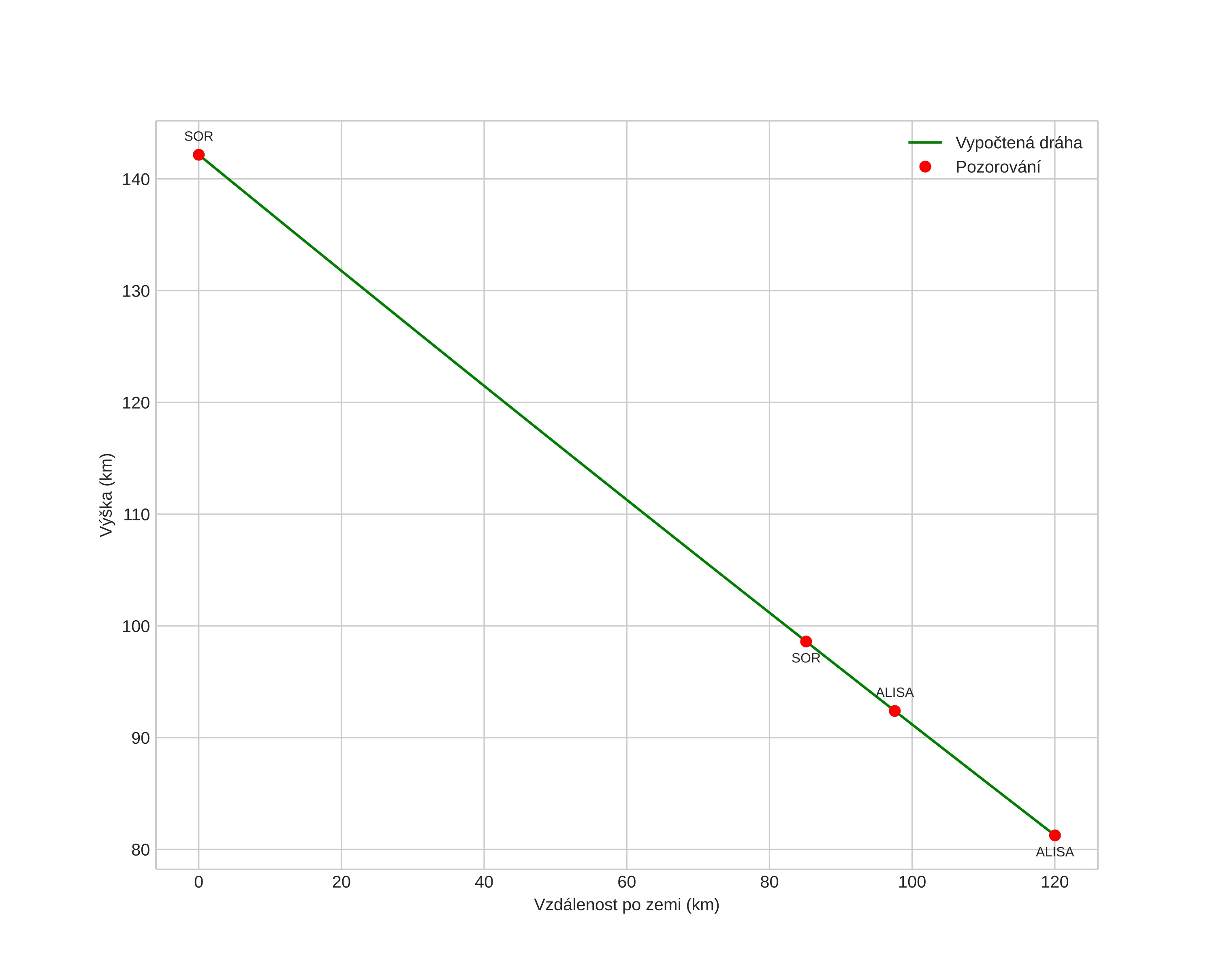
height profile
Atmosférická dráha meteoru:
Počáteční výška: 139,7 km
Konečná výška: 81,2 km
Počáteční poloha: 70,779N 19,146E
Konečná poloha: 69,976N 17,146E
Směr: 220,9°
Sklon: 26,7°
VstupnĂ­ rychlost: 81,7 km/s
Rektascenze radiantu: 15:51 (237,8°)
Deklinace radiantu: 40,1°
MeteorickĂ˝ roj: sporadickĂ˝
Elementy dráhy meteoroidu:
Vzdálenost v periheliu: 0,985 AU
Excentricita: 4,401
Sklon dráhy: 100,4°
Délka vzestupného uzlu: 312,5°
Argument perihelia: 181,9°
Střední anomálie: -5,1°
Epocha: 2019 FEB 01 21:07:49
orbit plot

NeinteraktivnĂ­ graf | InteraktivnĂ­ graf

position vs time
speed and acceleration