🇳🇴 🇬🇧 🇩🇪 🇨🇿 🇫🇮

Meteor Brøstadbotnin yllä 2019-02-01 21:07:49 UTC

KML-tiedosto  |  Interaktiivinen kartta

Kartta näyttää meteorin suuntahavainnot. Vaaleammat viivat näyttävät suunnat havaintoasemilta meteorin ilmestyessä, ja tummemmat viivat näyttävät, missä se viimeksi nähtiin. Sininen nuoli näyttää meteorin näkyvän lennon.

static map
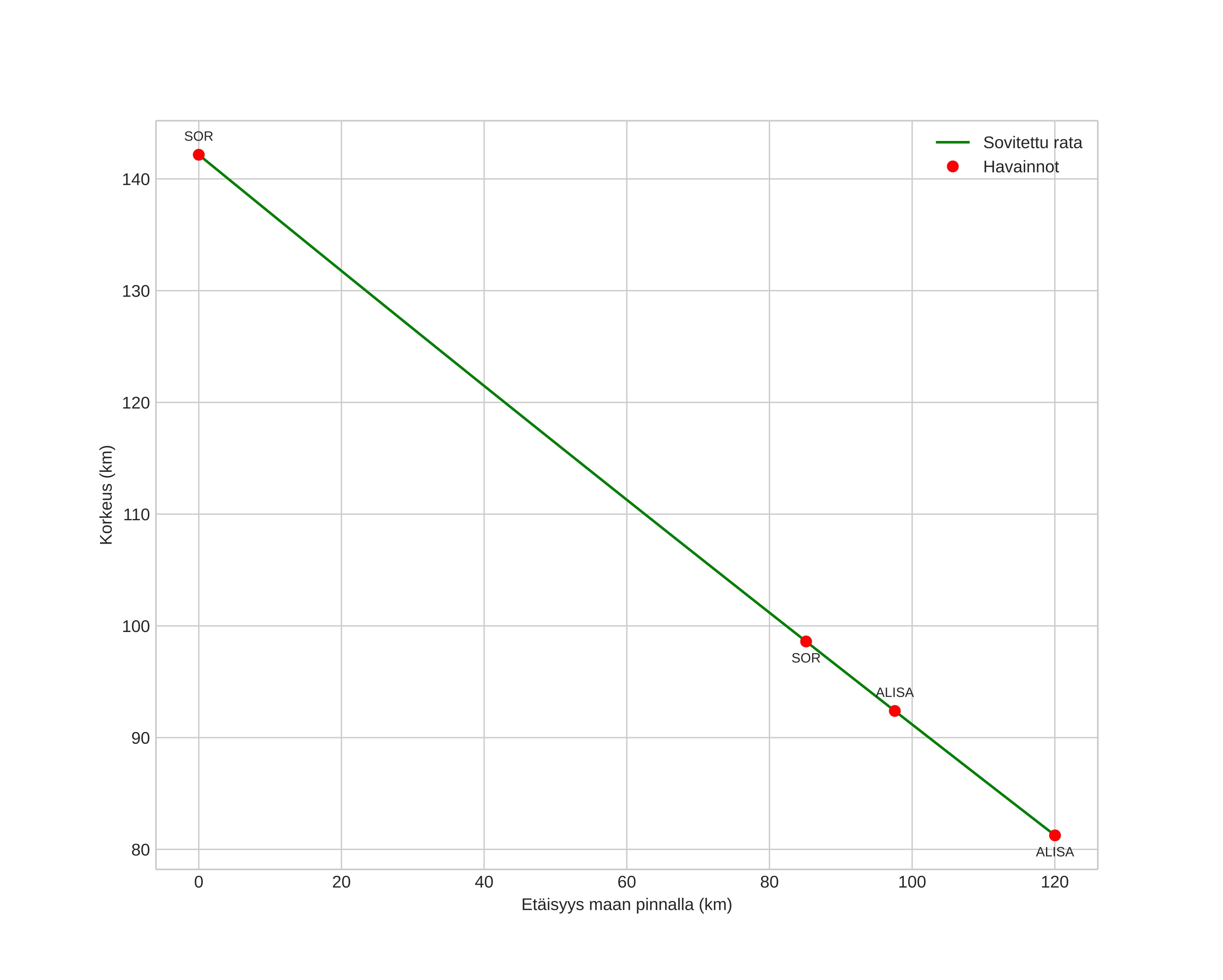
height profile
Meteorin ilmakehärata:
Alkukorkeus: 139,7 km
Loppukorkeus: 81,2 km
Alkupiste: 70,779N 19,146E
Loppupiste: 69,976N 17,146E
Suunta: 220,9°
Kallistuskulma: 26,7°
Tulonopeus: 81,7 km/s
Radiantin R,A,: 15:51 (237,8°)
Radiantin Dekl,: 40,1°
Meteoriparvi: Sporadinen
Meteoroidin rataelementit:
Perihelietäisyys: 0,985 AU
Eksentrisyys: 4,401
Inklinaatio: 100,4°
Nousevan solmun pituus: 312,5°
Perihelin argumentti: 181,9°
Keskianomalia: -5,1°
Epookki: 2019 FEB 01 21:07:49
orbit plot

Ei-interaktiivinen kuvaaja | Interaktiivinen kuvaaja

position vs time
speed and acceleration