🇳🇴 🇬🇧 🇩🇪 🇨🇿 🇫🇮

Meteor, poloha: Malmberget 2019-02-05 05:43:12 UTC

Soubor KML  |  InteraktivnĂ­ mapa

Mapa zobrazuje dráhy meteoru. Světlejší čáry ukazují směry od pozorovacích stanic při objevení se meteoru a tmavší čáry, kde byl naposledy viděn. Modrá šipka značí viditelnou dráhu meteoru.

static map
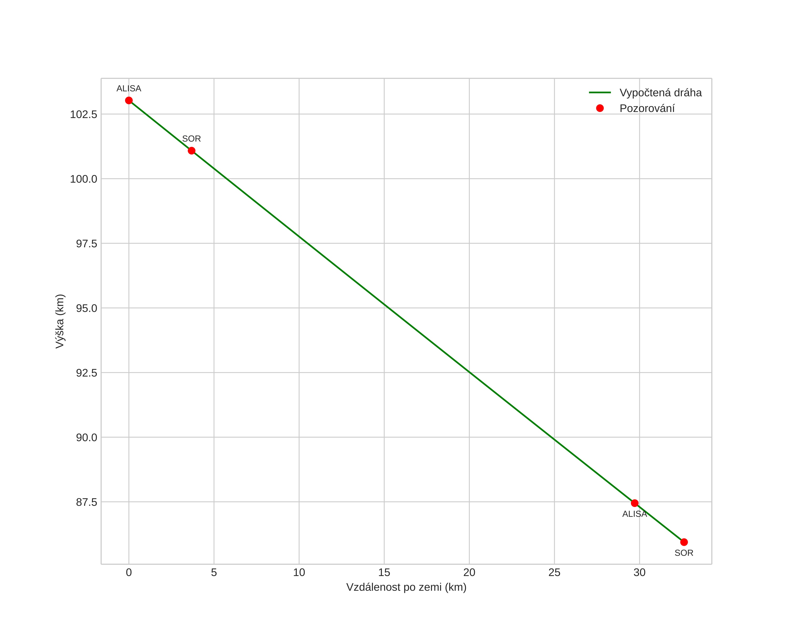
height profile
Atmosférická dráha meteoru:
Počáteční výška: 102,2 km
Konečná výška: 87,2 km
Počáteční poloha: 67,185N 21,395E
Konečná poloha: 67,408N 21,856E
Směr: 38,3°
Sklon: 25,3°
VstupnĂ­ rychlost: 66,7 km/s
Rektascenze radiantu: 13:49 (207,4°)
Deklinace radiantu: 6,4°
MeteorickĂ˝ roj: sporadickĂ˝
Elementy dráhy meteoroidu:
Vzdálenost v periheliu: 0,640 AU
Excentricita: 0,943
Sklon dráhy: 146,2°
Délka vzestupného uzlu: 315,9°
Argument perihelia: 254,0°
Střední anomálie: 359,0°
Epocha: 2019 FEB 05 05:43:12
orbit plot

NeinteraktivnĂ­ graf | InteraktivnĂ­ graf

position vs time
speed and acceleration