🇳🇴 🇬🇧 🇩🇪 🇨🇿 🇫🇮

Meteor Malmbergetin yllä 2019-02-05 05:43:12 UTC

KML-tiedosto  |  Interaktiivinen kartta

Kartta näyttää meteorin suuntahavainnot. Vaaleammat viivat näyttävät suunnat havaintoasemilta meteorin ilmestyessä, ja tummemmat viivat näyttävät, missä se viimeksi nähtiin. Sininen nuoli näyttää meteorin näkyvän lennon.

static map
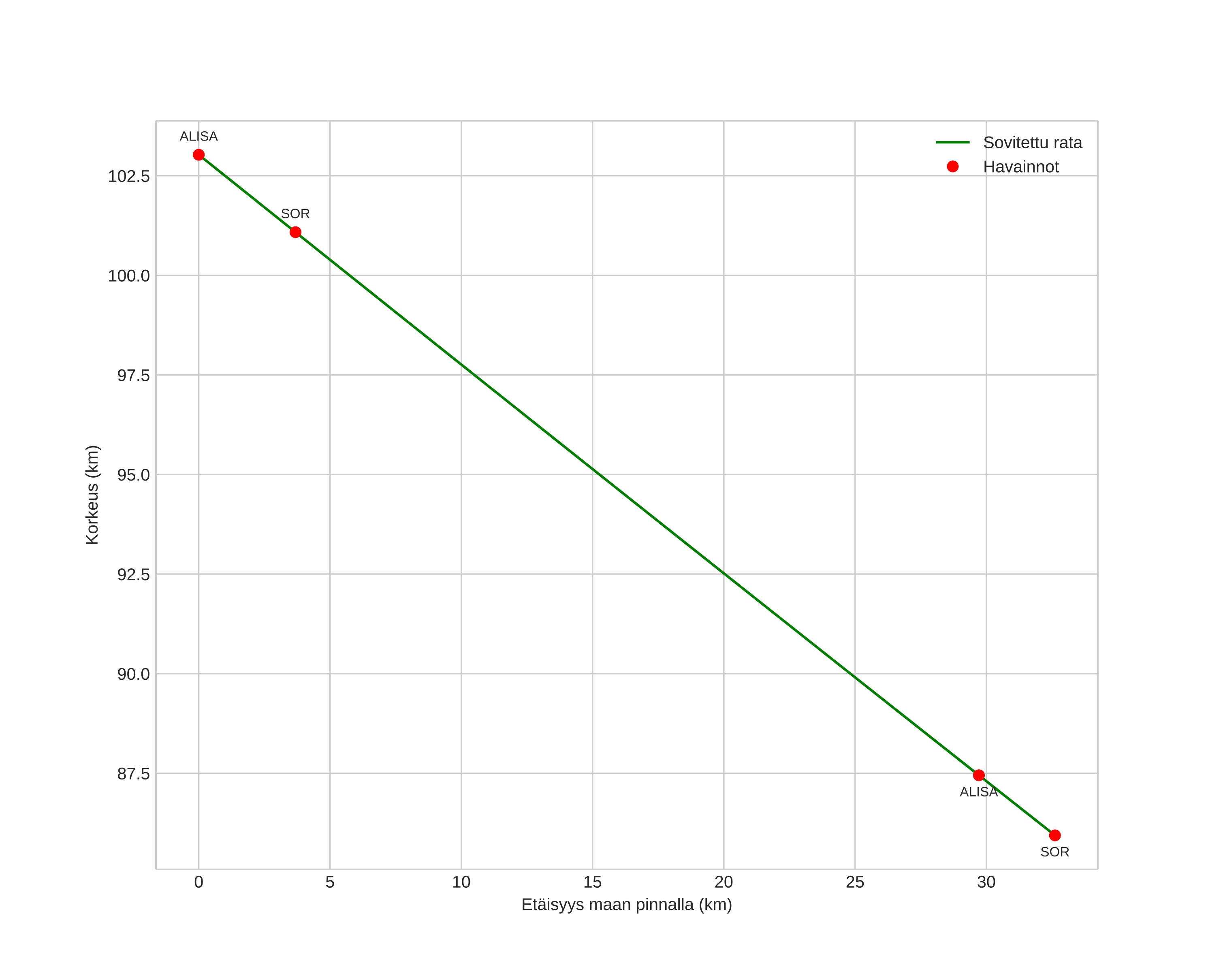
height profile
Meteorin ilmakehärata:
Alkukorkeus: 102,2 km
Loppukorkeus: 87,2 km
Alkupiste: 67,185N 21,395E
Loppupiste: 67,408N 21,856E
Suunta: 38,3°
Kallistuskulma: 25,3°
Tulonopeus: 66,7 km/s
Radiantin R,A,: 13:49 (207,4°)
Radiantin Dekl,: 6,4°
Meteoriparvi: Sporadinen
Meteoroidin rataelementit:
Perihelietäisyys: 0,640 AU
Eksentrisyys: 0,943
Inklinaatio: 146,2°
Nousevan solmun pituus: 315,9°
Perihelin argumentti: 254,0°
Keskianomalia: 359,0°
Epookki: 2019 FEB 05 05:43:12
orbit plot

Ei-interaktiivinen kuvaaja | Interaktiivinen kuvaaja

position vs time
speed and acceleration