🇳🇴 🇬🇧 🇩🇪 🇨🇿 🇫🇮

Meteor, poloha: Kiruna 2019-02-06 22:35:15 UTC

Soubor KML  |  InteraktivnĂ­ mapa

Mapa zobrazuje dráhy meteoru. Světlejší čáry ukazují směry od pozorovacích stanic při objevení se meteoru a tmavší čáry, kde byl naposledy viděn. Modrá šipka značí viditelnou dráhu meteoru.

static map
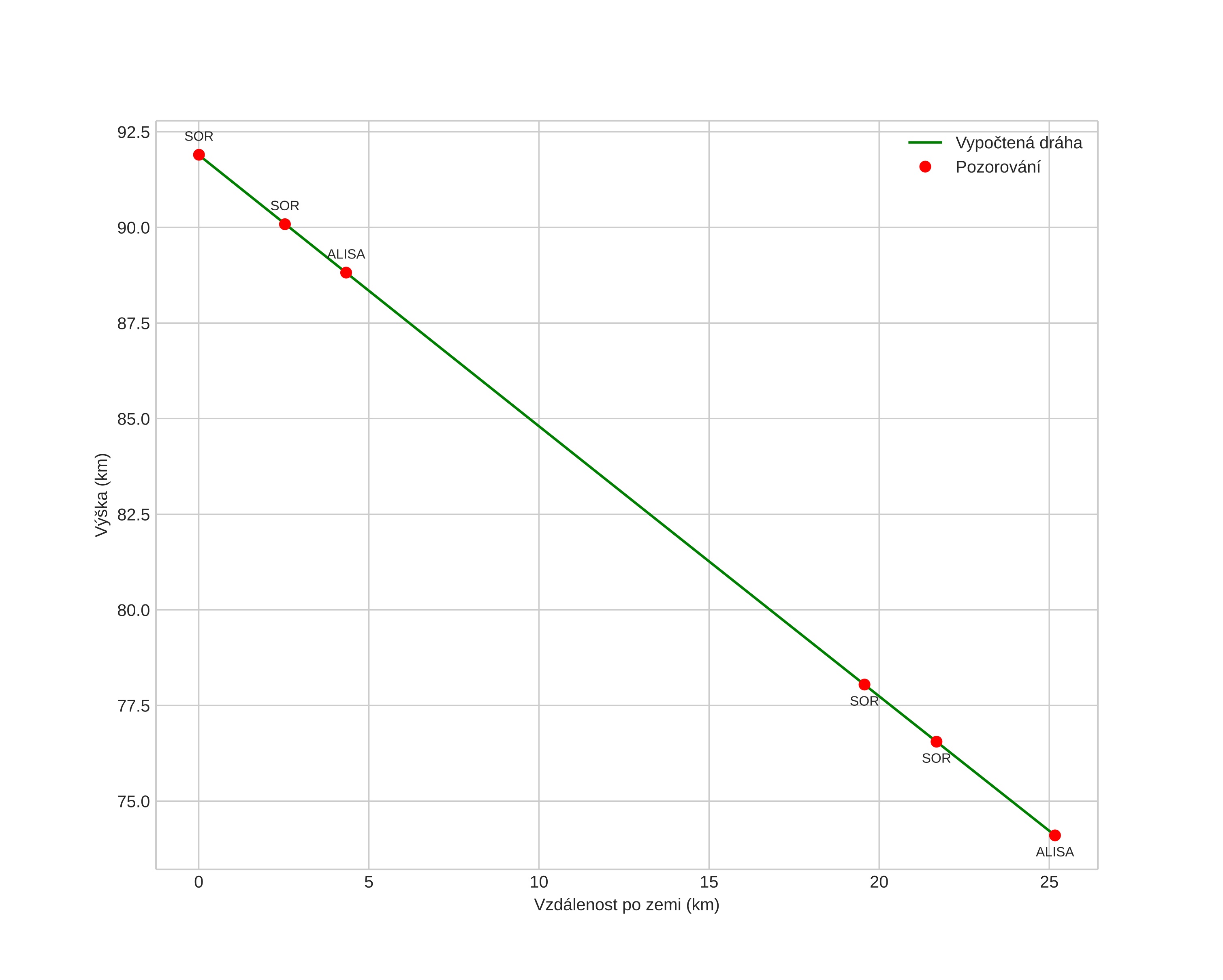
height profile
Atmosférická dráha meteoru:
Počáteční výška: 90,2 km
Konečná výška: 74,1 km
Počáteční poloha: 68,438N 19,940E
Konečná poloha: 68,314N 19,503E
Směr: 232,6°
Sklon: 35,5°
VstupnĂ­ rychlost: 39,4 km/s
Rektascenze radiantu: 16:27 (247,0°)
Deklinace radiantu: 45,3°
MeteorickĂ˝ roj: sporadickĂ˝
Elementy dráhy meteoroidu:
Vzdálenost v periheliu: 0,986 AU
Excentricita: 0,540
Sklon dráhy: 67,0°
Délka vzestupného uzlu: 317,6°
Argument perihelia: 177,7°
Střední anomálie: 0,6°
Epocha: 2019 FEB 06 22:35:15
orbit plot

NeinteraktivnĂ­ graf | InteraktivnĂ­ graf

position vs time
speed and acceleration