🇳🇴 🇬🇧 🇩🇪 🇨🇿 🇫🇮

Meteor Kirunan yllä 2019-02-06 22:35:15 UTC

KML-tiedosto  |  Interaktiivinen kartta

Kartta näyttää meteorin suuntahavainnot. Vaaleammat viivat näyttävät suunnat havaintoasemilta meteorin ilmestyessä, ja tummemmat viivat näyttävät, missä se viimeksi nähtiin. Sininen nuoli näyttää meteorin näkyvän lennon.

static map
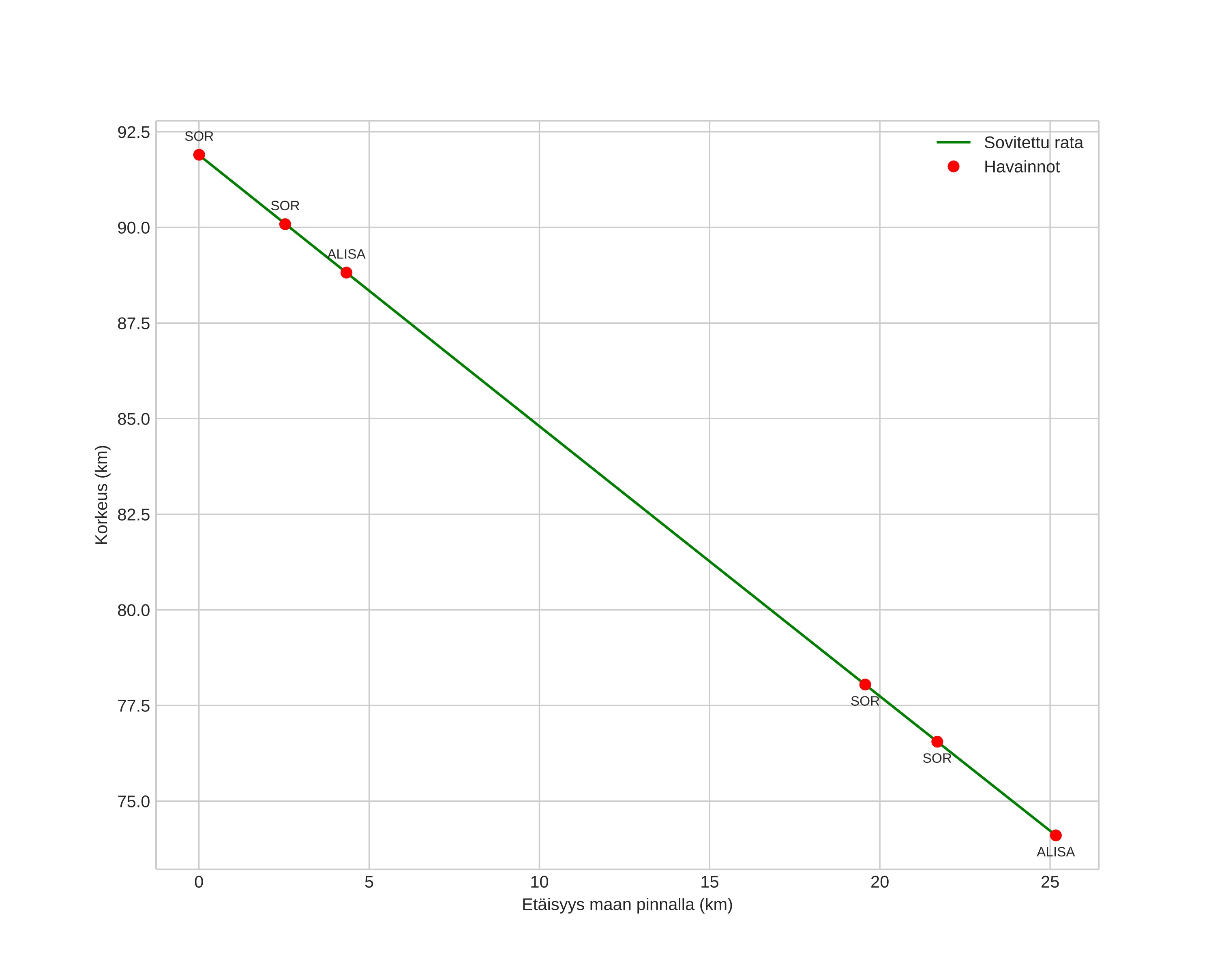
height profile
Meteorin ilmakehärata:
Alkukorkeus: 90,2 km
Loppukorkeus: 74,1 km
Alkupiste: 68,438N 19,940E
Loppupiste: 68,314N 19,503E
Suunta: 232,6°
Kallistuskulma: 35,5°
Tulonopeus: 39,4 km/s
Radiantin R,A,: 16:27 (247,0°)
Radiantin Dekl,: 45,3°
Meteoriparvi: Sporadinen
Meteoroidin rataelementit:
Perihelietäisyys: 0,986 AU
Eksentrisyys: 0,540
Inklinaatio: 67,0°
Nousevan solmun pituus: 317,6°
Perihelin argumentti: 177,7°
Keskianomalia: 0,6°
Epookki: 2019 FEB 06 22:35:15
orbit plot

Ei-interaktiivinen kuvaaja | Interaktiivinen kuvaaja

position vs time
speed and acceleration