🇳🇴 🇬🇧 🇩🇪 🇨🇿 🇫🇮

Meteor, poloha: Setermoen 2019-02-11 15:58:12 UTC

Soubor KML  |  InteraktivnĂ­ mapa

Mapa zobrazuje dráhy meteoru. Světlejší čáry ukazují směry od pozorovacích stanic při objevení se meteoru a tmavší čáry, kde byl naposledy viděn. Modrá šipka značí viditelnou dráhu meteoru.

static map
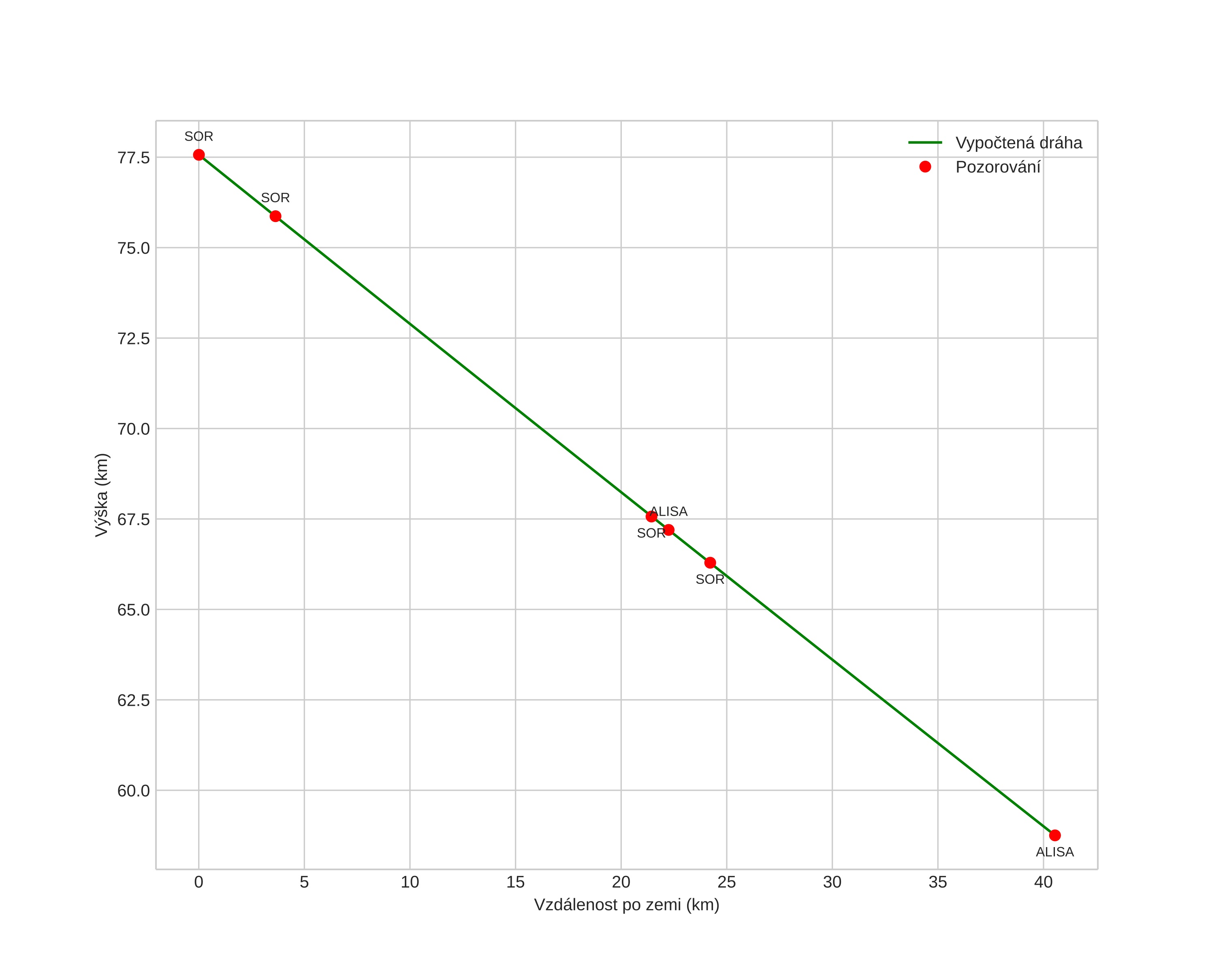
height profile
Atmosférická dráha meteoru:
Počáteční výška: 77,3 km
Konečná výška: 59,8 km
Počáteční poloha: 68,785N 18,831E
Konečná poloha: 68,429N 18,971E
Směr: 171,8°
Sklon: 23,6°
VstupnĂ­ rychlost: 34,1 km/s
Rektascenze radiantu: 15:21 (230,4°)
Deklinace radiantu: 42,5°
MeteorickĂ˝ roj: sporadickĂ˝
Elementy dráhy meteoroidu:
Vzdálenost v periheliu: 0,845 AU
Excentricita: 0,240
Sklon dráhy: 62,1°
Délka vzestupného uzlu: 322,4°
Argument perihelia: 255,2°
Střední anomálie: 309,9°
Epocha: 2019 FEB 11 15:58:12
orbit plot

NeinteraktivnĂ­ graf | InteraktivnĂ­ graf

position vs time
speed and acceleration