🇳🇴 🇬🇧 🇩🇪 🇨🇿 🇫🇮

Meteor Setermoenin yllä 2019-02-11 15:58:12 UTC

KML-tiedosto  |  Interaktiivinen kartta

Kartta näyttää meteorin suuntahavainnot. Vaaleammat viivat näyttävät suunnat havaintoasemilta meteorin ilmestyessä, ja tummemmat viivat näyttävät, missä se viimeksi nähtiin. Sininen nuoli näyttää meteorin näkyvän lennon.

static map
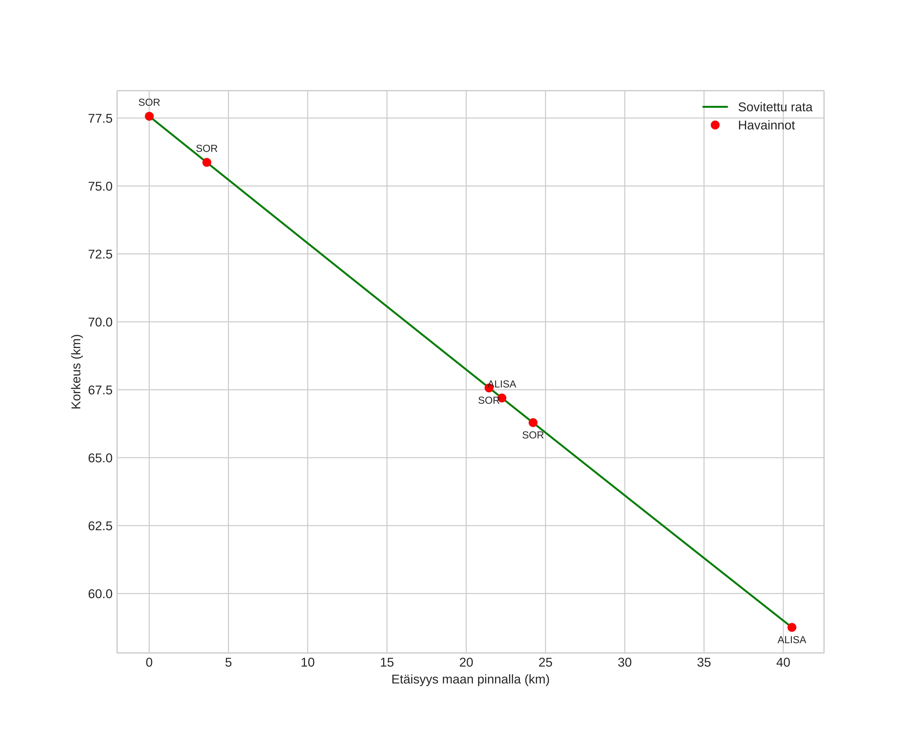
height profile
Meteorin ilmakehärata:
Alkukorkeus: 77,3 km
Loppukorkeus: 59,8 km
Alkupiste: 68,785N 18,831E
Loppupiste: 68,429N 18,971E
Suunta: 171,8°
Kallistuskulma: 23,6°
Tulonopeus: 34,1 km/s
Radiantin R,A,: 15:21 (230,4°)
Radiantin Dekl,: 42,5°
Meteoriparvi: Sporadinen
Meteoroidin rataelementit:
Perihelietäisyys: 0,845 AU
Eksentrisyys: 0,240
Inklinaatio: 62,1°
Nousevan solmun pituus: 322,4°
Perihelin argumentti: 255,2°
Keskianomalia: 309,9°
Epookki: 2019 FEB 11 15:58:12
orbit plot

Ei-interaktiivinen kuvaaja | Interaktiivinen kuvaaja

position vs time
speed and acceleration