🇳🇴 🇬🇧 🇩🇪 🇨🇿 🇫🇮

Meteor, poloha: Lemvig 2019-02-12 00:44:24 UTC

Soubor KML  |  InteraktivnĂ­ mapa

Mapa zobrazuje dráhy meteoru. Světlejší čáry ukazují směry od pozorovacích stanic při objevení se meteoru a tmavší čáry, kde byl naposledy viděn. Modrá šipka značí viditelnou dráhu meteoru.

static map
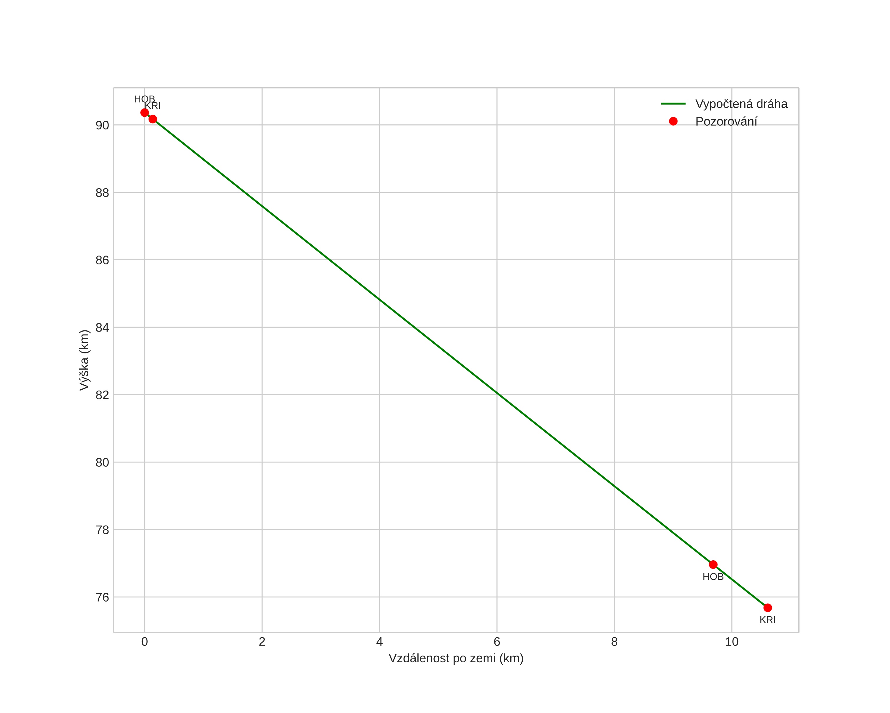
height profile
Atmosférická dráha meteoru:
Počáteční výška: 90,7 km
Konečná výška: 76,6 km
Počáteční poloha: 56,435N 8,288E
Konečná poloha: 56,522N 8,340E
Směr: 18,1°
Sklon: 54,2°
VstupnĂ­ rychlost: 26,1 km/s
Rektascenze radiantu: 09:54 (148,6°)
Deklinace radiantu: 19,8°
MeteorickĂ˝ roj: sporadickĂ˝
Elementy dráhy meteoroidu:
Vzdálenost v periheliu: 0,551 AU
Excentricita: 0,768
Sklon dráhy: 5,3°
Délka vzestupného uzlu: 322,7°
Argument perihelia: 271,0°
Střední anomálie: 348,1°
Epocha: 2019 FEB 12 00:44:24
orbit plot

NeinteraktivnĂ­ graf | InteraktivnĂ­ graf

position vs time
speed and acceleration