🇳🇴 🇬🇧 🇩🇪 🇨🇿 🇫🇮

Meteor Lemvigin yllä 2019-02-12 00:44:24 UTC

KML-tiedosto  |  Interaktiivinen kartta

Kartta näyttää meteorin suuntahavainnot. Vaaleammat viivat näyttävät suunnat havaintoasemilta meteorin ilmestyessä, ja tummemmat viivat näyttävät, missä se viimeksi nähtiin. Sininen nuoli näyttää meteorin näkyvän lennon.

static map
height profile
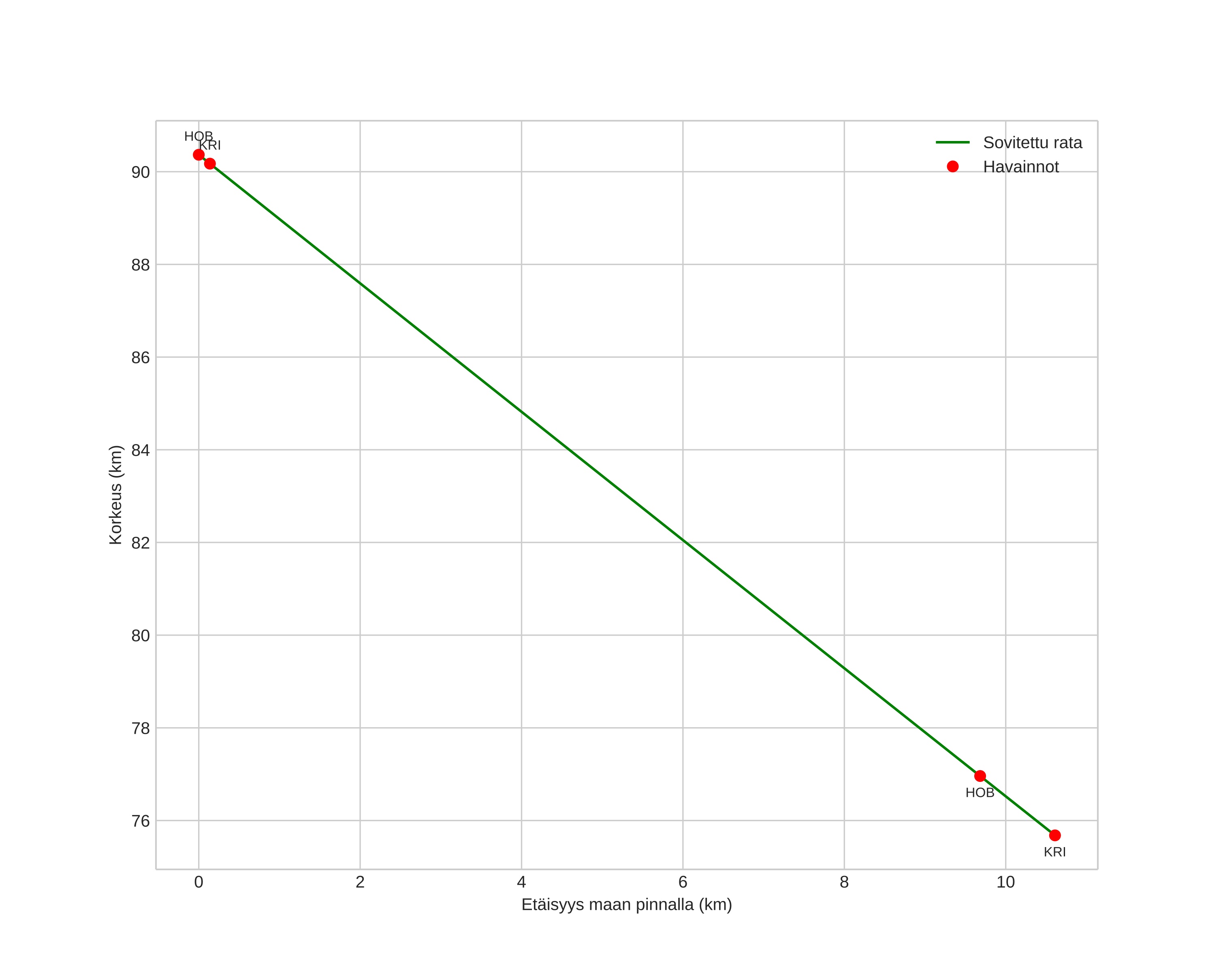
Meteorin ilmakehärata:
Alkukorkeus: 90,7 km
Loppukorkeus: 76,6 km
Alkupiste: 56,435N 8,288E
Loppupiste: 56,522N 8,340E
Suunta: 18,1°
Kallistuskulma: 54,2°
Tulonopeus: 26,1 km/s
Radiantin R,A,: 09:54 (148,6°)
Radiantin Dekl,: 19,8°
Meteoriparvi: Sporadinen
Meteoroidin rataelementit:
Perihelietäisyys: 0,551 AU
Eksentrisyys: 0,768
Inklinaatio: 5,3°
Nousevan solmun pituus: 322,7°
Perihelin argumentti: 271,0°
Keskianomalia: 348,1°
Epookki: 2019 FEB 12 00:44:24
orbit plot

Ei-interaktiivinen kuvaaja | Interaktiivinen kuvaaja

position vs time
speed and acceleration