🇳🇴 🇬🇧 🇩🇪 🇨🇿 🇫🇮

Meteor, poloha: Mora 2019-02-12 03:10:09 UTC

Soubor KML  |  InteraktivnĂ­ mapa

Mapa zobrazuje dráhy meteoru. Světlejší čáry ukazují směry od pozorovacích stanic při objevení se meteoru a tmavší čáry, kde byl naposledy viděn. Modrá šipka značí viditelnou dráhu meteoru.

static map
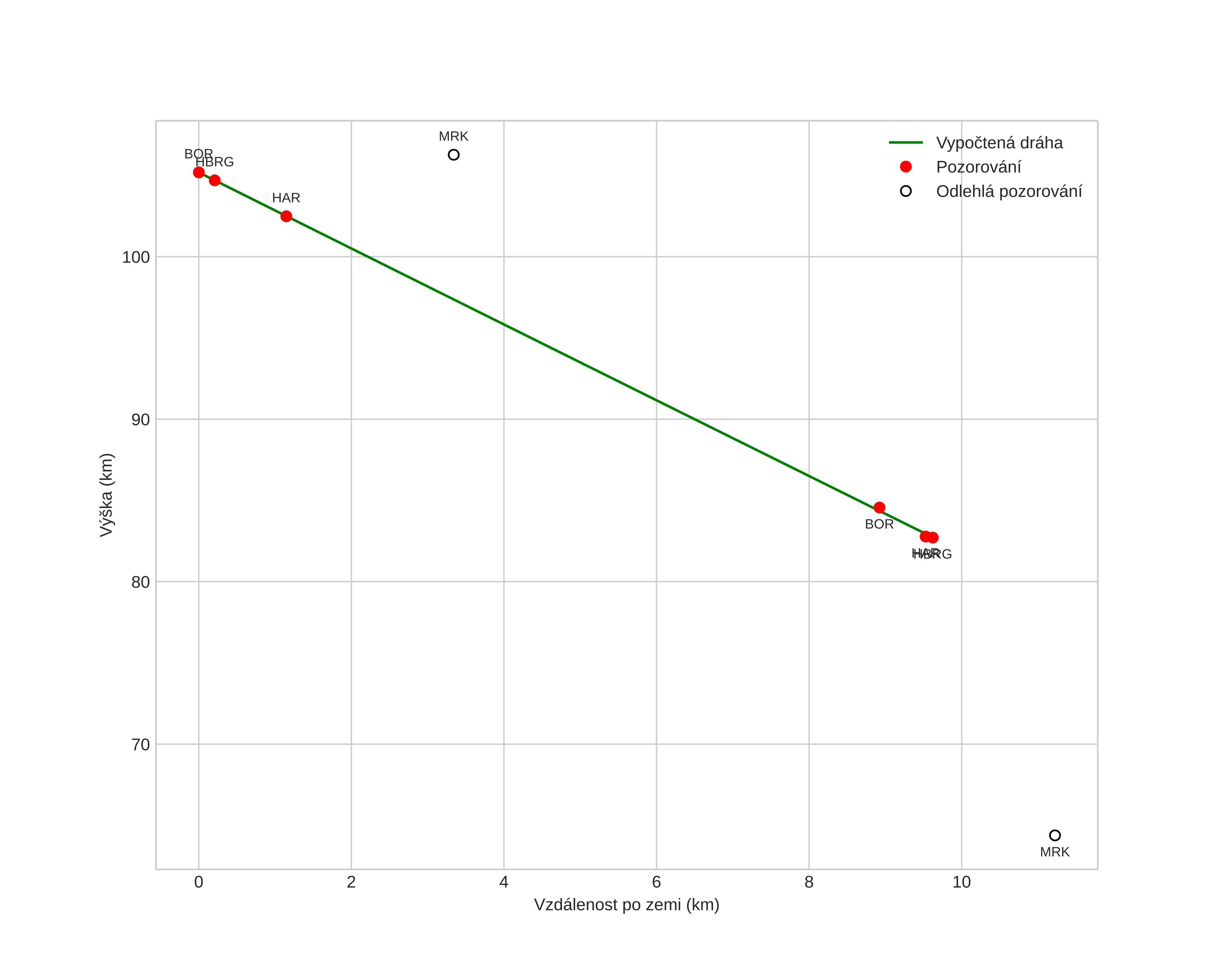
height profile
Atmosférická dráha meteoru:
Počáteční výška: 105,2 km
Konečná výška: 81,3 km
Počáteční poloha: 60,817N 14,485E
Konečná poloha: 60,915N 14,470E
Směr: 355,8°
Sklon: 65,3°
VstupnĂ­ rychlost: 50,1 km/s
Rektascenze radiantu: 13:41 (205,5°)
Deklinace radiantu: 35,8°
MeteorickĂ˝ roj: sporadickĂ˝
Elementy dráhy meteoroidu:
Vzdálenost v periheliu: 0,618 AU
Excentricita: 0,984
Sklon dráhy: 81,1°
Délka vzestupného uzlu: 322,8°
Argument perihelia: 255,7°
Střední anomálie: 359,8°
Epocha: 2019 FEB 12 03:10:09
orbit plot

NeinteraktivnĂ­ graf | InteraktivnĂ­ graf

position vs time
speed and acceleration