🇳🇴 🇬🇧 🇩🇪 🇨🇿 🇫🇮

Meteor Moran yllä 2019-02-12 03:10:09 UTC

KML-tiedosto  |  Interaktiivinen kartta

Kartta näyttää meteorin suuntahavainnot. Vaaleammat viivat näyttävät suunnat havaintoasemilta meteorin ilmestyessä, ja tummemmat viivat näyttävät, missä se viimeksi nähtiin. Sininen nuoli näyttää meteorin näkyvän lennon.

static map
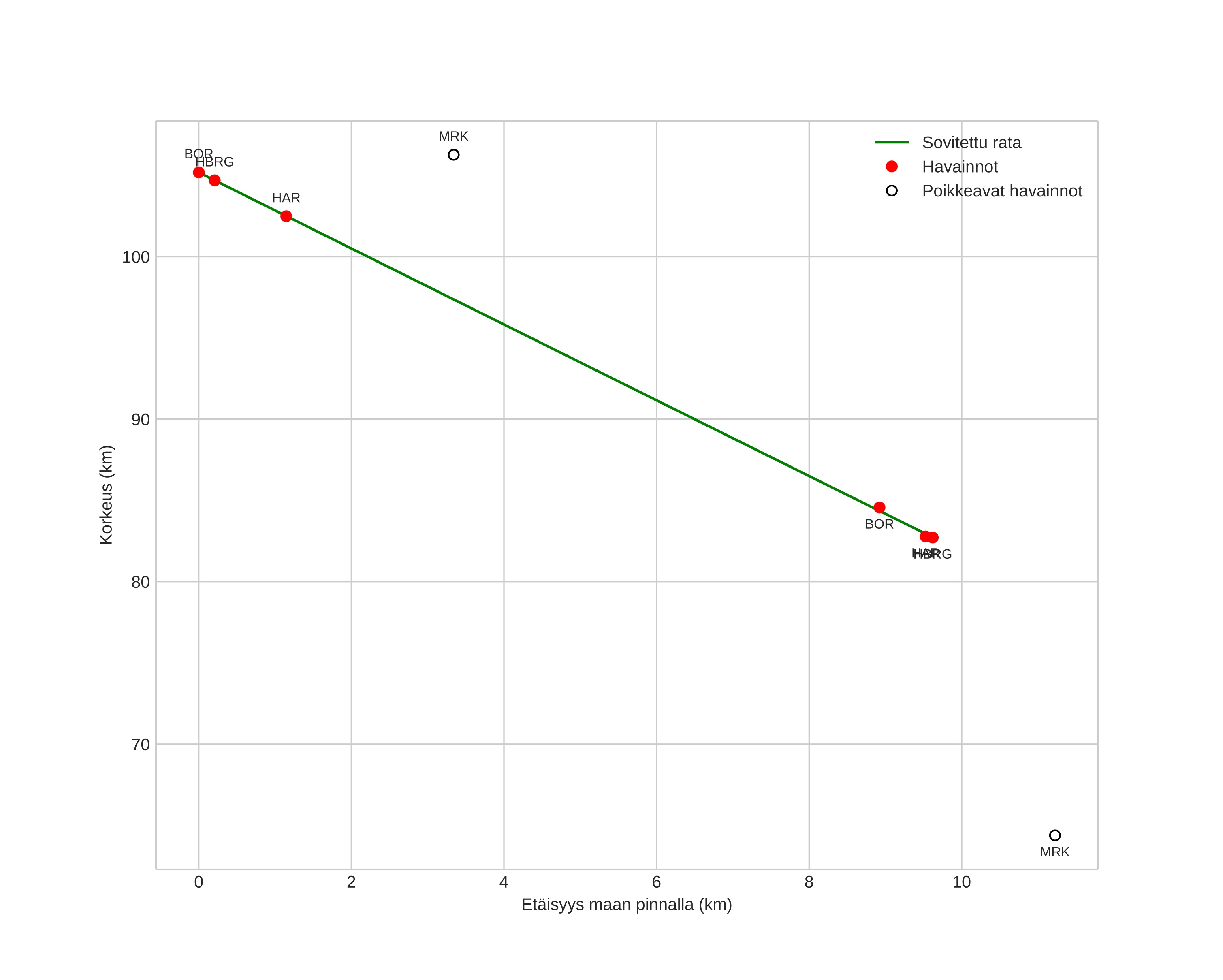
height profile
Meteorin ilmakehärata:
Alkukorkeus: 105,2 km
Loppukorkeus: 81,3 km
Alkupiste: 60,817N 14,485E
Loppupiste: 60,915N 14,470E
Suunta: 355,8°
Kallistuskulma: 65,3°
Tulonopeus: 50,1 km/s
Radiantin R,A,: 13:41 (205,5°)
Radiantin Dekl,: 35,8°
Meteoriparvi: Sporadinen
Meteoroidin rataelementit:
Perihelietäisyys: 0,618 AU
Eksentrisyys: 0,984
Inklinaatio: 81,1°
Nousevan solmun pituus: 322,8°
Perihelin argumentti: 255,7°
Keskianomalia: 359,8°
Epookki: 2019 FEB 12 03:10:09
orbit plot

Ei-interaktiivinen kuvaaja | Interaktiivinen kuvaaja

position vs time
speed and acceleration