🇳🇴 🇬🇧 🇩🇪 🇨🇿 🇫🇮

Meteor, poloha: Fetsund 2019-02-12 03:57:49 UTC

Soubor KML  |  InteraktivnĂ­ mapa

Mapa zobrazuje dráhy meteoru. Světlejší čáry ukazují směry od pozorovacích stanic při objevení se meteoru a tmavší čáry, kde byl naposledy viděn. Modrá šipka značí viditelnou dráhu meteoru.

static map
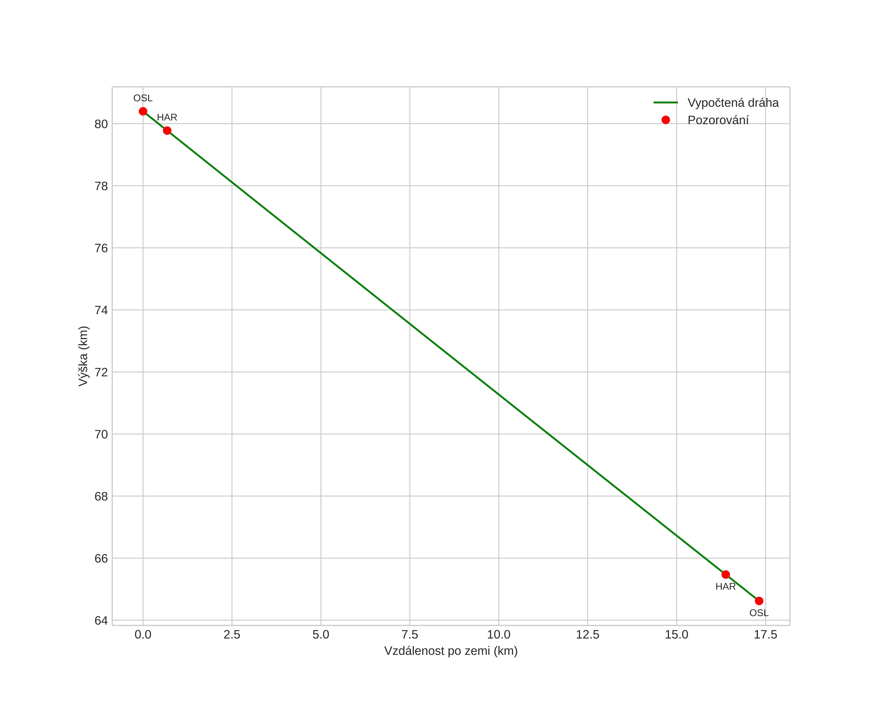
height profile
Atmosférická dráha meteoru:
Počáteční výška: 81,3 km
Konečná výška: 66,7 km
Počáteční poloha: 59,934N 10,831E
Konečná poloha: 59,930N 11,135E
Směr: 91,5°
Sklon: 40,7°
VstupnĂ­ rychlost: 20,7 km/s
Rektascenze radiantu: 09:22 (140,7°)
Deklinace radiantu: 31,2°
MeteorickĂ˝ roj: sporadickĂ˝
Elementy dráhy meteoroidu:
Vzdálenost v periheliu: 0,736 AU
Excentricita: 0,658
Sklon dráhy: 7,9°
Délka vzestupného uzlu: 322,9°
Argument perihelia: 248,9°
Střední anomálie: 346,8°
Epocha: 2019 FEB 12 03:57:49
orbit plot

NeinteraktivnĂ­ graf | InteraktivnĂ­ graf

position vs time
speed and acceleration