🇳🇴 🇬🇧 🇩🇪 🇨🇿 🇫🇮

Meteor Fetsundin yllä 2019-02-12 03:57:49 UTC

KML-tiedosto  |  Interaktiivinen kartta

Kartta näyttää meteorin suuntahavainnot. Vaaleammat viivat näyttävät suunnat havaintoasemilta meteorin ilmestyessä, ja tummemmat viivat näyttävät, missä se viimeksi nähtiin. Sininen nuoli näyttää meteorin näkyvän lennon.

static map
height profile
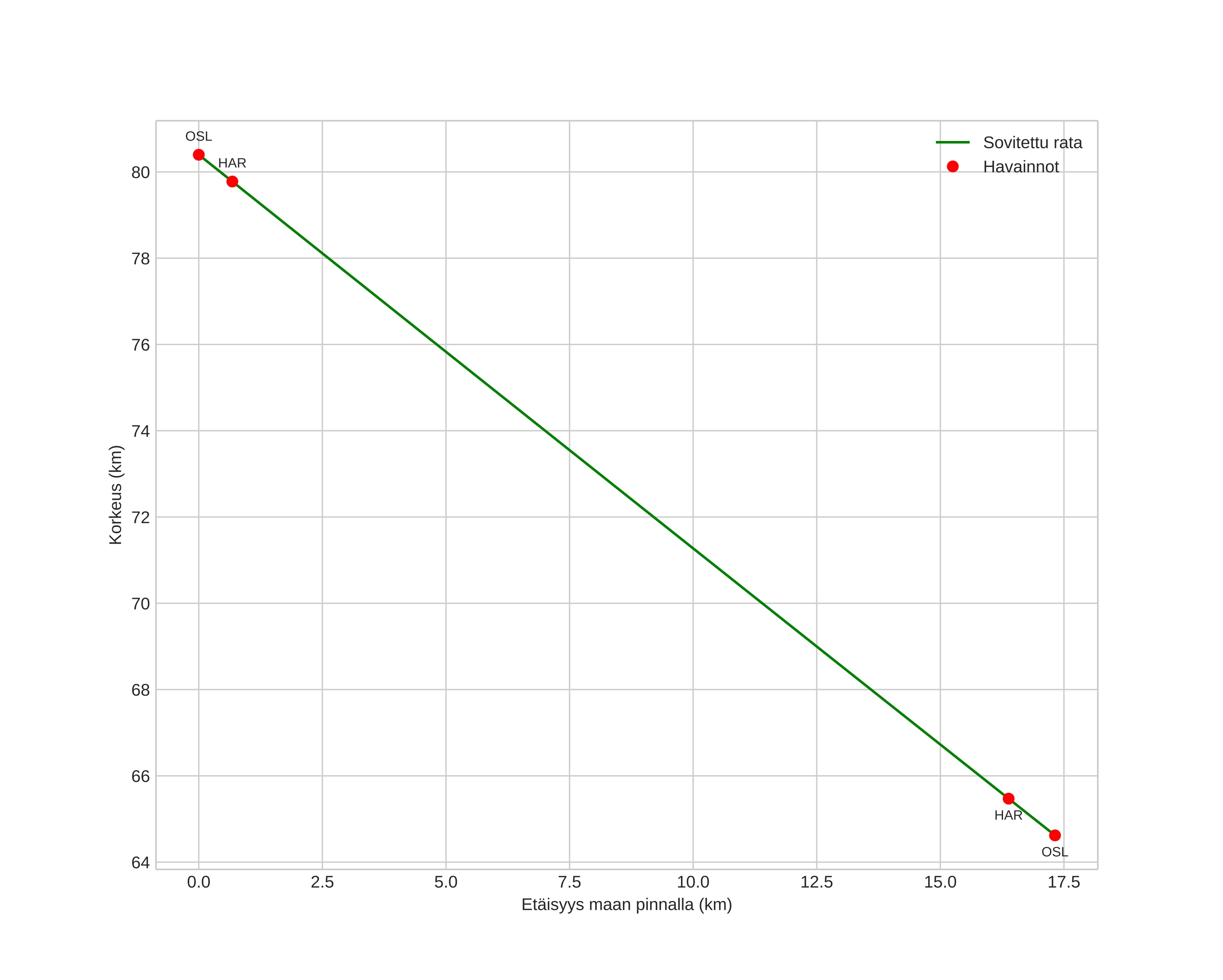
Meteorin ilmakehärata:
Alkukorkeus: 81,3 km
Loppukorkeus: 66,7 km
Alkupiste: 59,934N 10,831E
Loppupiste: 59,930N 11,135E
Suunta: 91,5°
Kallistuskulma: 40,7°
Tulonopeus: 20,7 km/s
Radiantin R,A,: 09:22 (140,7°)
Radiantin Dekl,: 31,2°
Meteoriparvi: Sporadinen
Meteoroidin rataelementit:
Perihelietäisyys: 0,736 AU
Eksentrisyys: 0,658
Inklinaatio: 7,9°
Nousevan solmun pituus: 322,9°
Perihelin argumentti: 248,9°
Keskianomalia: 346,8°
Epookki: 2019 FEB 12 03:57:49
orbit plot

Ei-interaktiivinen kuvaaja | Interaktiivinen kuvaaja

position vs time
speed and acceleration