🇳🇴 🇬🇧 🇩🇪 🇨🇿 🇫🇮

Meteor, poloha: Tjøme 2019-02-16 18:16:07 UTC

Soubor KML  |  InteraktivnĂ­ mapa

Mapa zobrazuje dráhy meteoru. Světlejší čáry ukazují směry od pozorovacích stanic při objevení se meteoru a tmavší čáry, kde byl naposledy viděn. Modrá šipka značí viditelnou dráhu meteoru.

static map
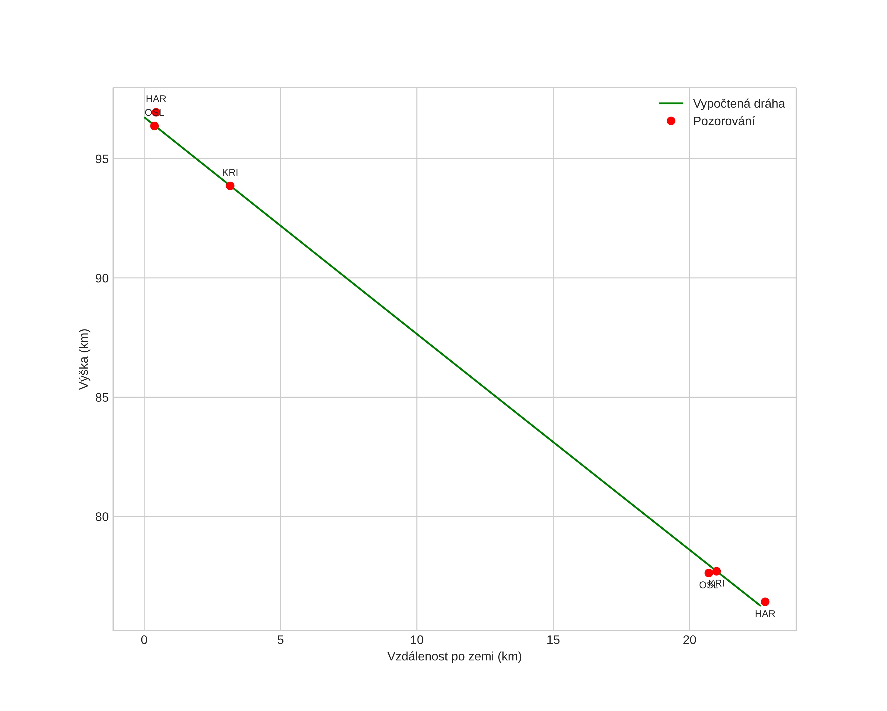
height profile
Atmosférická dráha meteoru:
Počáteční výška: 98,0 km
Konečná výška: 77,9 km
Počáteční poloha: 58,946N 10,754E
Konečná poloha: 58,803N 10,492E
Směr: 223,6°
Sklon: 42,5°
VstupnĂ­ rychlost: 25,2 km/s
Rektascenze radiantu: 11:46 (176,5°)
Deklinace radiantu: 57,2°
MeteorickĂ˝ roj: sporadickĂ˝
Elementy dráhy meteoroidu:
Vzdálenost v periheliu: 0,808 AU
Excentricita: 0,663
Sklon dráhy: 29,2°
Délka vzestupného uzlu: 327,5°
Argument perihelia: 237,1°
Střední anomálie: 350,0°
Epocha: 2019 FEB 16 18:16:07
orbit plot

NeinteraktivnĂ­ graf | InteraktivnĂ­ graf

position vs time
speed and acceleration