🇳🇴 🇬🇧 🇩🇪 🇨🇿 🇫🇮

Meteor Tjømen yllä 2019-02-16 18:16:07 UTC

KML-tiedosto  |  Interaktiivinen kartta

Kartta näyttää meteorin suuntahavainnot. Vaaleammat viivat näyttävät suunnat havaintoasemilta meteorin ilmestyessä, ja tummemmat viivat näyttävät, missä se viimeksi nähtiin. Sininen nuoli näyttää meteorin näkyvän lennon.

static map
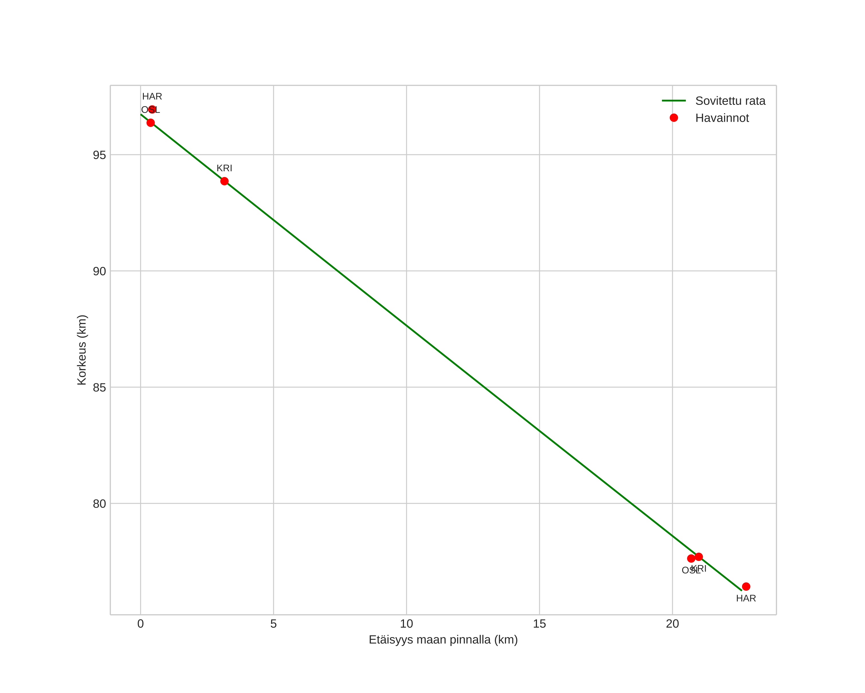
height profile
Meteorin ilmakehärata:
Alkukorkeus: 98,0 km
Loppukorkeus: 77,9 km
Alkupiste: 58,946N 10,754E
Loppupiste: 58,803N 10,492E
Suunta: 223,6°
Kallistuskulma: 42,5°
Tulonopeus: 25,2 km/s
Radiantin R,A,: 11:46 (176,5°)
Radiantin Dekl,: 57,2°
Meteoriparvi: Sporadinen
Meteoroidin rataelementit:
Perihelietäisyys: 0,808 AU
Eksentrisyys: 0,663
Inklinaatio: 29,2°
Nousevan solmun pituus: 327,5°
Perihelin argumentti: 237,1°
Keskianomalia: 350,0°
Epookki: 2019 FEB 16 18:16:07
orbit plot

Ei-interaktiivinen kuvaaja | Interaktiivinen kuvaaja

position vs time
speed and acceleration