🇳🇴 🇬🇧 🇩🇪 🇨🇿 🇫🇮

Meteor, poloha: Stavern 2019-02-16 23:54:51 UTC

Soubor KML  |  InteraktivnĂ­ mapa

Mapa zobrazuje dráhy meteoru. Světlejší čáry ukazují směry od pozorovacích stanic při objevení se meteoru a tmavší čáry, kde byl naposledy viděn. Modrá šipka značí viditelnou dráhu meteoru.

static map
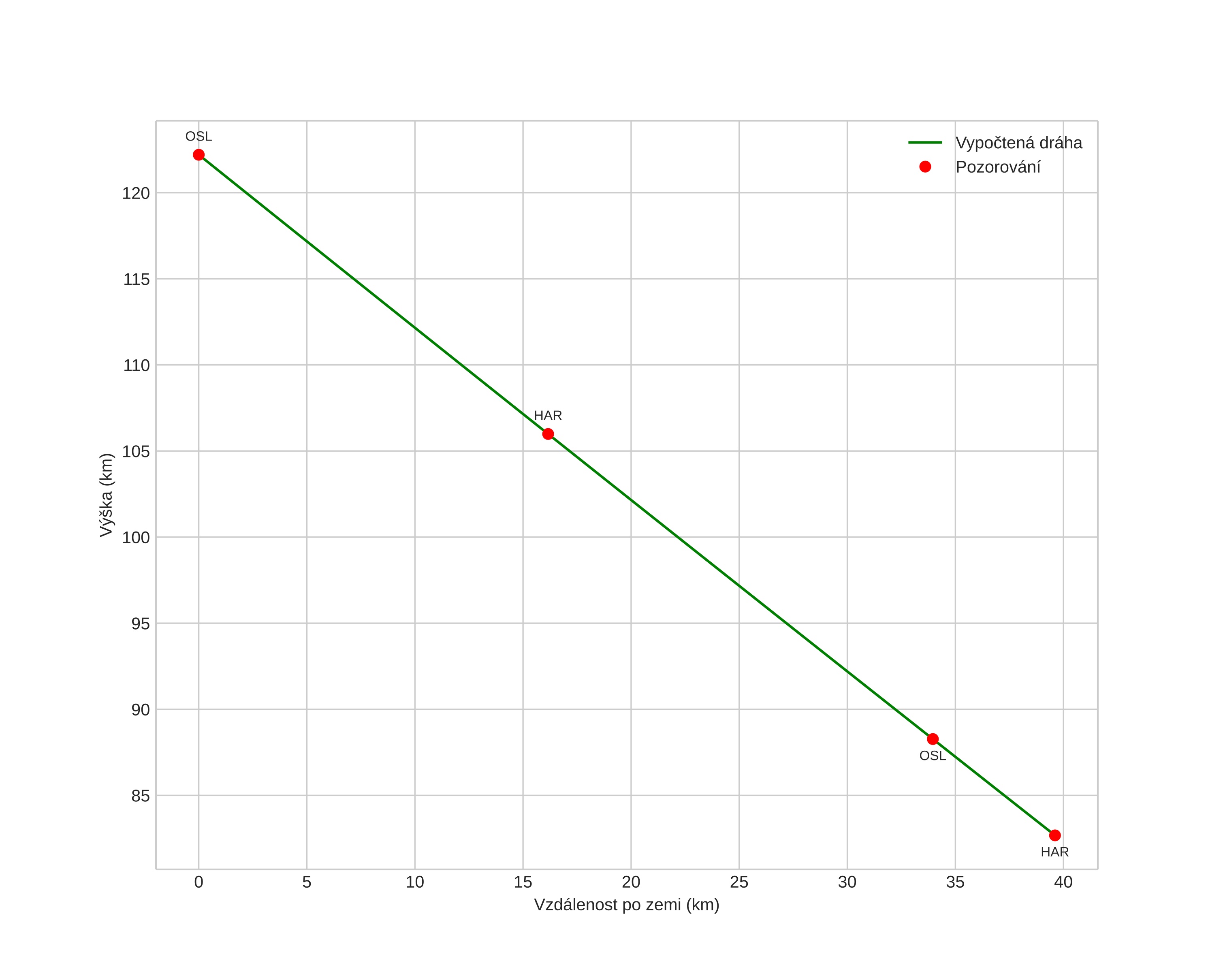
height profile
Atmosférická dráha meteoru:
Počáteční výška: 100,4 km
Konečná výška: 71,7 km
Počáteční poloha: 58,352N 10,072E
Konečná poloha: 58,626N 10,023E
Směr: 354,7°
Sklon: 43,1°
VstupnĂ­ rychlost: 40,2 km/s
Rektascenze radiantu: 10:35 (158,8°)
Deklinace radiantu: 10,6°
MeteorickĂ˝ roj: sporadickĂ˝
Elementy dráhy meteoroidu:
Vzdálenost v periheliu: 0,314 AU
Excentricita: 1,080
Sklon dráhy: 2,5°
Délka vzestupného uzlu: 327,7°
Argument perihelia: 288,4°
Střední anomálie: -4,4°
Epocha: 2019 FEB 16 23:54:51
orbit plot

NeinteraktivnĂ­ graf | InteraktivnĂ­ graf

position vs time
speed and acceleration