🇳🇴 🇬🇧 🇩🇪 🇨🇿 🇫🇮

Meteor Stavernin yllä 2019-02-16 23:54:51 UTC

KML-tiedosto  |  Interaktiivinen kartta

Kartta näyttää meteorin suuntahavainnot. Vaaleammat viivat näyttävät suunnat havaintoasemilta meteorin ilmestyessä, ja tummemmat viivat näyttävät, missä se viimeksi nähtiin. Sininen nuoli näyttää meteorin näkyvän lennon.

static map
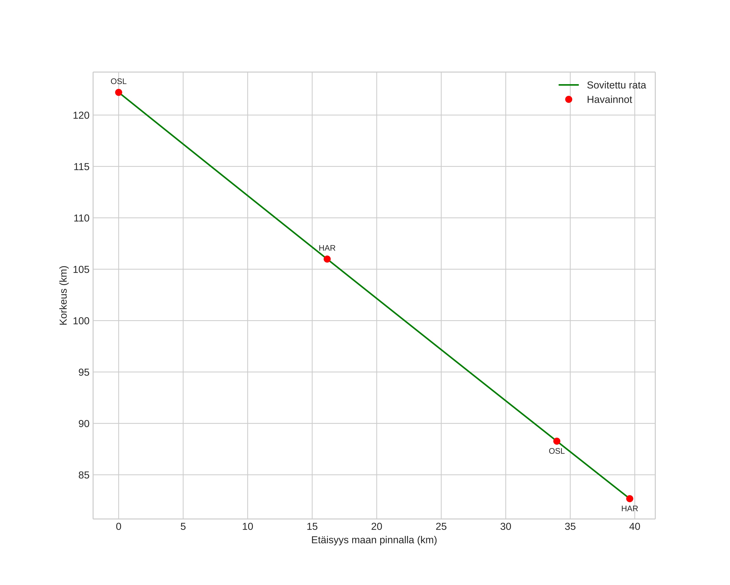
height profile
Meteorin ilmakehärata:
Alkukorkeus: 100,4 km
Loppukorkeus: 71,7 km
Alkupiste: 58,352N 10,072E
Loppupiste: 58,626N 10,023E
Suunta: 354,7°
Kallistuskulma: 43,1°
Tulonopeus: 40,2 km/s
Radiantin R,A,: 10:35 (158,8°)
Radiantin Dekl,: 10,6°
Meteoriparvi: Sporadinen
Meteoroidin rataelementit:
Perihelietäisyys: 0,314 AU
Eksentrisyys: 1,080
Inklinaatio: 2,5°
Nousevan solmun pituus: 327,7°
Perihelin argumentti: 288,4°
Keskianomalia: -4,4°
Epookki: 2019 FEB 16 23:54:51
orbit plot

Ei-interaktiivinen kuvaaja | Interaktiivinen kuvaaja

position vs time
speed and acceleration