🇳🇴 🇬🇧 🇩🇪 🇨🇿 🇫🇮

Meteor, poloha: Engerdal 2019-02-19 19:16:04 UTC

Soubor KML  |  InteraktivnĂ­ mapa

Mapa zobrazuje dráhy meteoru. Světlejší čáry ukazují směry od pozorovacích stanic při objevení se meteoru a tmavší čáry, kde byl naposledy viděn. Modrá šipka značí viditelnou dráhu meteoru.

static map
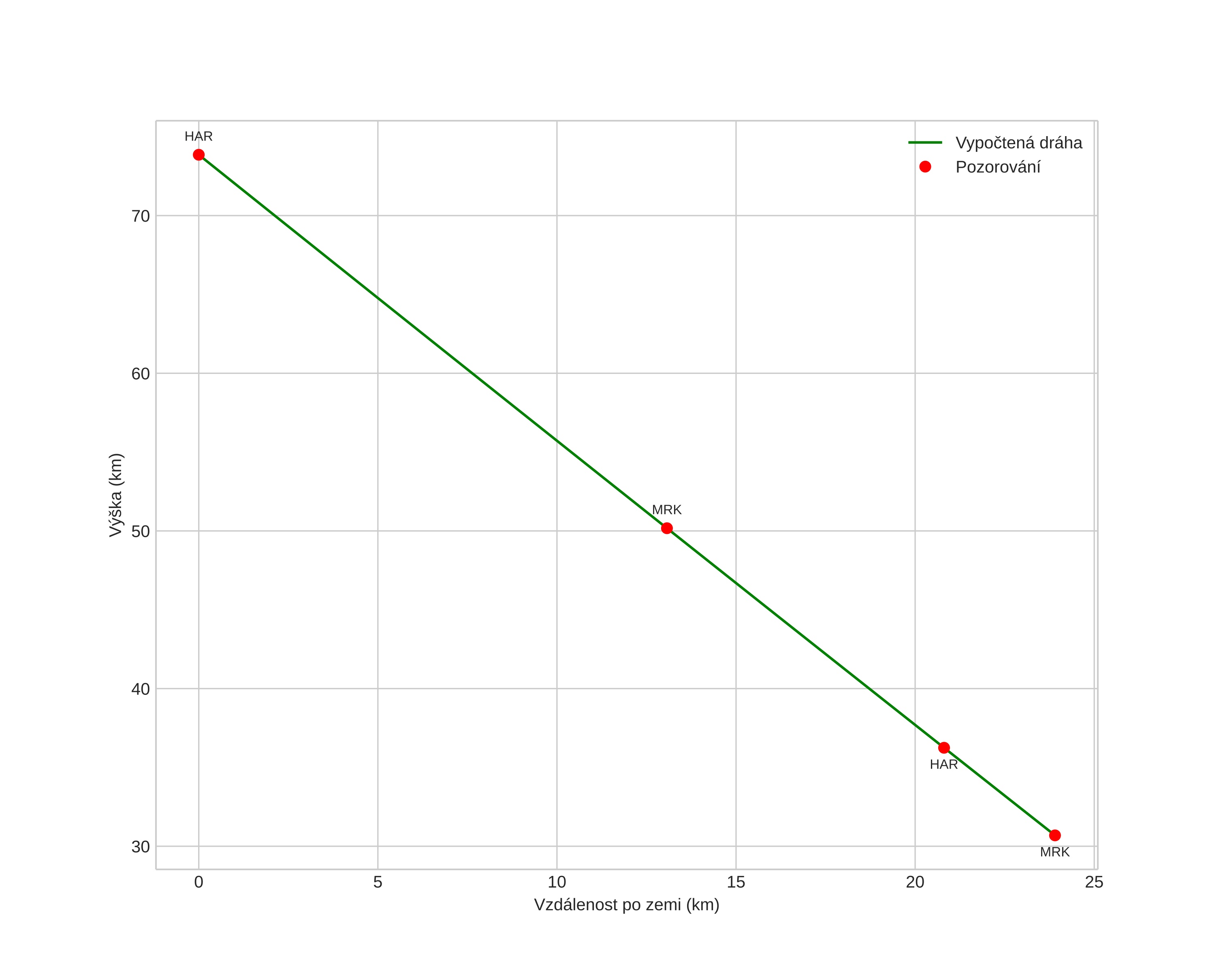
height profile
Atmosférická dráha meteoru:
Počáteční výška: 73,9 km
Konečná výška: 30,7 km
Počáteční poloha: 61,920N 11,175E
Konečná poloha: 61,932N 11,630E
Směr: 86,5°
Sklon: 61,1°
VstupnĂ­ rychlost: 14,2 km/s
Rektascenze radiantu: 02:15 (33,9°)
Deklinace radiantu: 43,6°
MeteorickĂ˝ roj: sporadickĂ˝
Elementy dráhy meteoroidu:
Vzdálenost v periheliu: 0,984 AU
Excentricita: 0,622
Sklon dráhy: 6,4°
Délka vzestupného uzlu: 330,6°
Argument perihelia: 171,3°
Střední anomálie: 1,6°
Epocha: 2019 FEB 19 19:16:04
orbit plot

NeinteraktivnĂ­ graf | InteraktivnĂ­ graf

position vs time
speed and acceleration