🇳🇴 🇬🇧 🇩🇪 🇨🇿 🇫🇮

Meteor Engerdalin yllä 2019-02-19 19:16:04 UTC

KML-tiedosto  |  Interaktiivinen kartta

Kartta näyttää meteorin suuntahavainnot. Vaaleammat viivat näyttävät suunnat havaintoasemilta meteorin ilmestyessä, ja tummemmat viivat näyttävät, missä se viimeksi nähtiin. Sininen nuoli näyttää meteorin näkyvän lennon.

static map
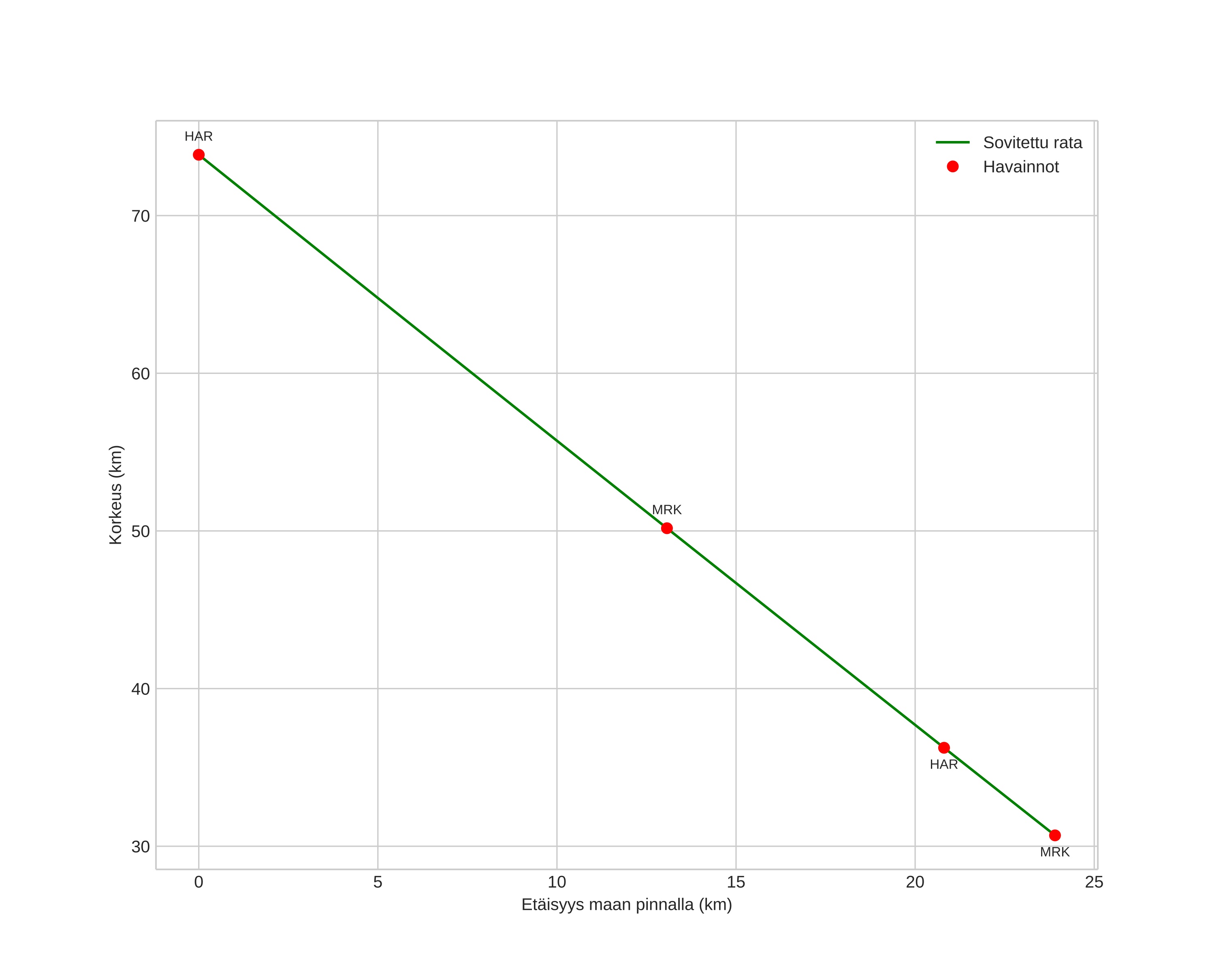
height profile
Meteorin ilmakehärata:
Alkukorkeus: 73,9 km
Loppukorkeus: 30,7 km
Alkupiste: 61,920N 11,175E
Loppupiste: 61,932N 11,630E
Suunta: 86,5°
Kallistuskulma: 61,1°
Tulonopeus: 14,2 km/s
Radiantin R,A,: 02:15 (33,9°)
Radiantin Dekl,: 43,6°
Meteoriparvi: Sporadinen
Meteoroidin rataelementit:
Perihelietäisyys: 0,984 AU
Eksentrisyys: 0,622
Inklinaatio: 6,4°
Nousevan solmun pituus: 330,6°
Perihelin argumentti: 171,3°
Keskianomalia: 1,6°
Epookki: 2019 FEB 19 19:16:04
orbit plot

Ei-interaktiivinen kuvaaja | Interaktiivinen kuvaaja

position vs time
speed and acceleration