🇳🇴 🇬🇧 🇩🇪 🇨🇿 🇫🇮

Meteor, poloha: Ydstebøhamn 2019-03-01 20:23:02 UTC

Soubor KML  |  InteraktivnĂ­ mapa

Mapa zobrazuje dráhy meteoru. Světlejší čáry ukazují směry od pozorovacích stanic při objevení se meteoru a tmavší čáry, kde byl naposledy viděn. Modrá šipka značí viditelnou dráhu meteoru.

static map
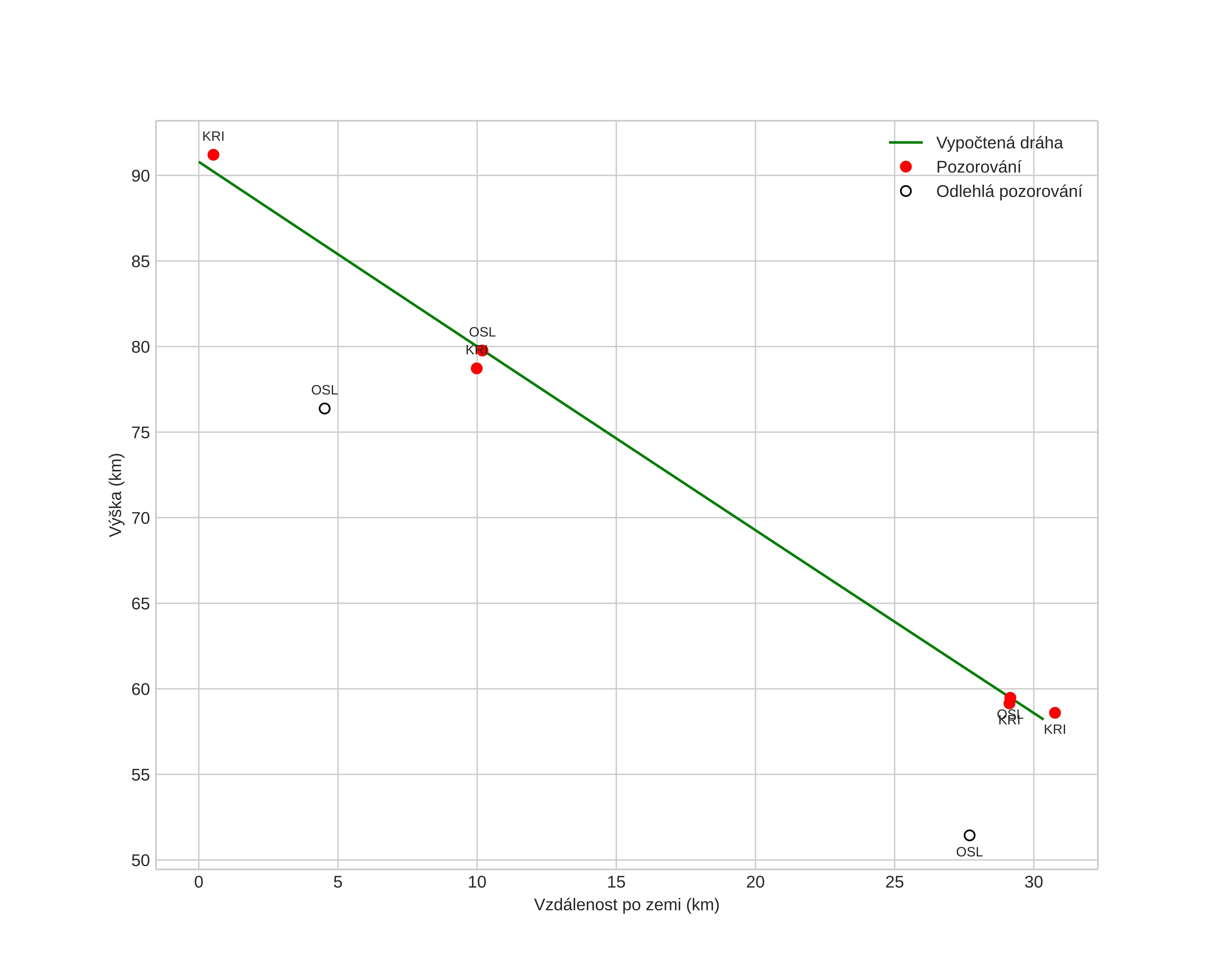
height profile
Atmosférická dráha meteoru:
Počáteční výška: 91,2 km
Konečná výška: 59,0 km
Počáteční poloha: 59,194N 5,099E
Konečná poloha: 58,939N 5,273E
Směr: 160,5°
Sklon: 47,0°
VstupnĂ­ rychlost: 21,2 km/s
Rektascenze radiantu: 22:29 (337,3°)
Deklinace radiantu: 69,7°
MeteorickĂ˝ roj: sporadickĂ˝
Elementy dráhy meteoroidu:
Vzdálenost v periheliu: 0,977 AU
Excentricita: 0,799
Sklon dráhy: 24,5°
Délka vzestupného uzlu: 340,7°
Argument perihelia: 165,8°
Střední anomálie: 1,0°
Epocha: 2019 MAR 01 20:23:02
orbit plot

NeinteraktivnĂ­ graf | InteraktivnĂ­ graf

position vs time
speed and acceleration