🇳🇴 🇬🇧 🇩🇪 🇨🇿 🇫🇮

Meteor Ydstebøhamnin yllä 2019-03-01 20:23:02 UTC

KML-tiedosto  |  Interaktiivinen kartta

Kartta näyttää meteorin suuntahavainnot. Vaaleammat viivat näyttävät suunnat havaintoasemilta meteorin ilmestyessä, ja tummemmat viivat näyttävät, missä se viimeksi nähtiin. Sininen nuoli näyttää meteorin näkyvän lennon.

static map
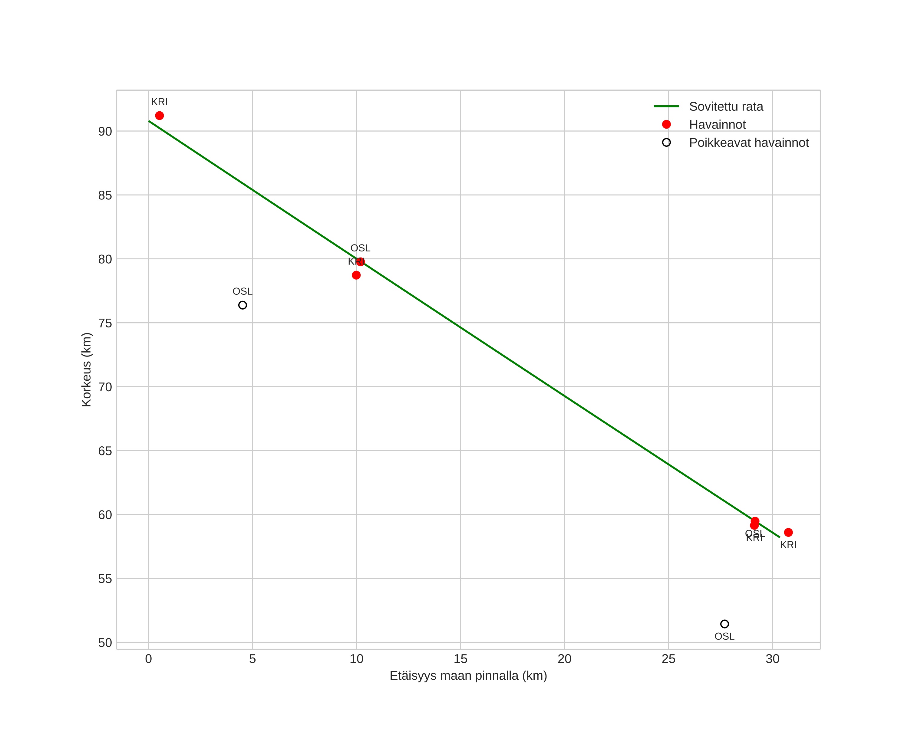
height profile
Meteorin ilmakehärata:
Alkukorkeus: 91,2 km
Loppukorkeus: 59,0 km
Alkupiste: 59,194N 5,099E
Loppupiste: 58,939N 5,273E
Suunta: 160,5°
Kallistuskulma: 47,0°
Tulonopeus: 21,2 km/s
Radiantin R,A,: 22:29 (337,3°)
Radiantin Dekl,: 69,7°
Meteoriparvi: Sporadinen
Meteoroidin rataelementit:
Perihelietäisyys: 0,977 AU
Eksentrisyys: 0,799
Inklinaatio: 24,5°
Nousevan solmun pituus: 340,7°
Perihelin argumentti: 165,8°
Keskianomalia: 1,0°
Epookki: 2019 MAR 01 20:23:02
orbit plot

Ei-interaktiivinen kuvaaja | Interaktiivinen kuvaaja

position vs time
speed and acceleration