🇳🇴 🇬🇧 🇩🇪 🇨🇿 🇫🇮

Meteor, poloha: Hurdal 2019-03-02 04:24:48 UTC

Soubor KML  |  InteraktivnĂ­ mapa

Mapa zobrazuje dráhy meteoru. Světlejší čáry ukazují směry od pozorovacích stanic při objevení se meteoru a tmavší čáry, kde byl naposledy viděn. Modrá šipka značí viditelnou dráhu meteoru.

static map
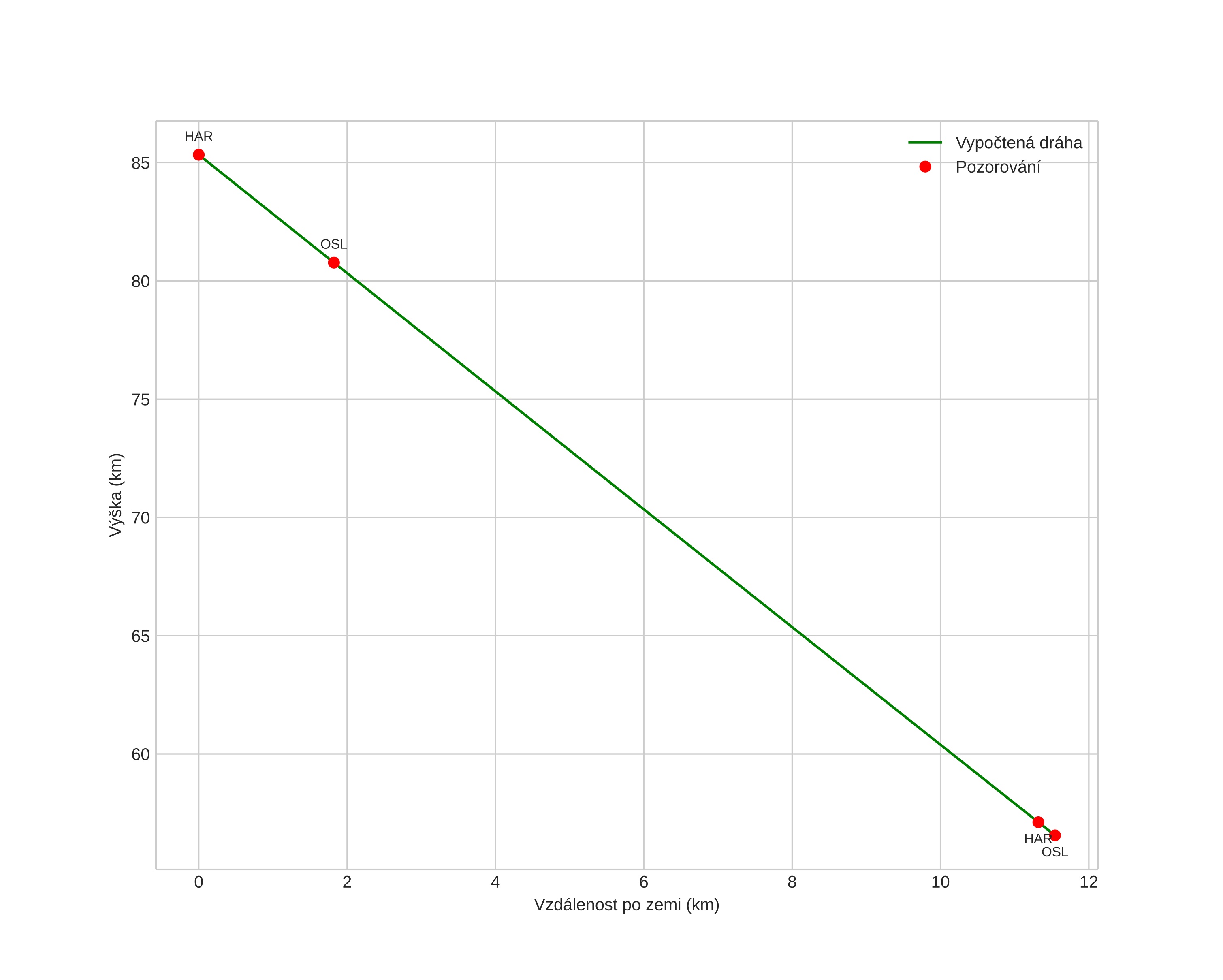
height profile
Atmosférická dráha meteoru:
Počáteční výška: 80,4 km
Konečná výška: 55,3 km
Počáteční poloha: 60,451N 11,020E
Konečná poloha: 60,371N 11,109E
Směr: 151,2°
Sklon: 68,0°
VstupnĂ­ rychlost: 20,6 km/s
Rektascenze radiantu: 12:04 (181,2°)
Deklinace radiantu: 75,5°
MeteorickĂ˝ roj: sporadickĂ˝
Elementy dráhy meteoroidu:
Vzdálenost v periheliu: 0,963 AU
Excentricita: 0,674
Sklon dráhy: 23,9°
Délka vzestupného uzlu: 341,0°
Argument perihelia: 201,6°
Střední anomálie: 356,8°
Epocha: 2019 MAR 02 04:24:48
orbit plot

NeinteraktivnĂ­ graf | InteraktivnĂ­ graf

position vs time
speed and acceleration