🇳🇴 🇬🇧 🇩🇪 🇨🇿 🇫🇮

Meteor Hurdalin yllä 2019-03-02 04:24:48 UTC

KML-tiedosto  |  Interaktiivinen kartta

Kartta näyttää meteorin suuntahavainnot. Vaaleammat viivat näyttävät suunnat havaintoasemilta meteorin ilmestyessä, ja tummemmat viivat näyttävät, missä se viimeksi nähtiin. Sininen nuoli näyttää meteorin näkyvän lennon.

static map
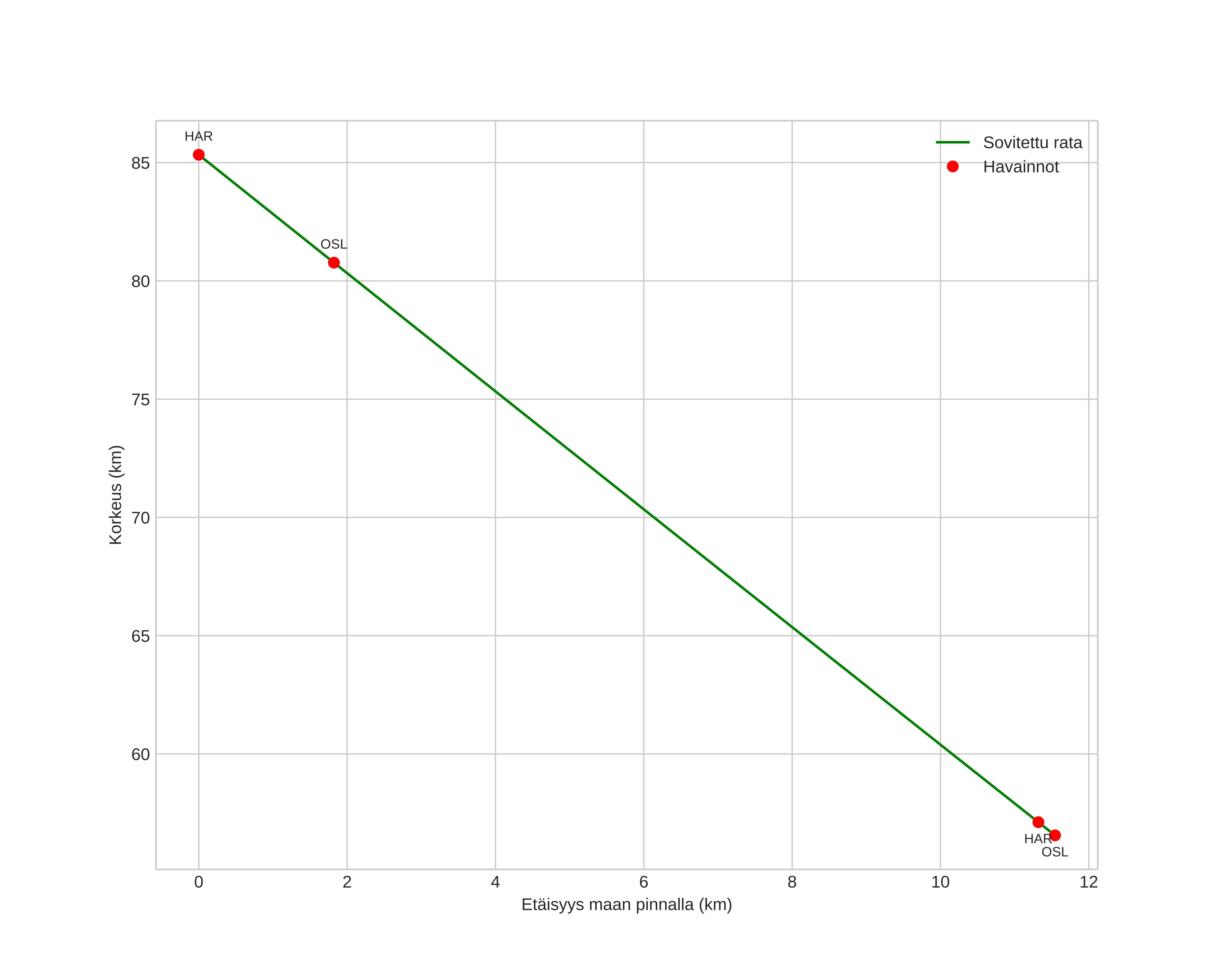
height profile
Meteorin ilmakehärata:
Alkukorkeus: 80,4 km
Loppukorkeus: 55,3 km
Alkupiste: 60,451N 11,020E
Loppupiste: 60,371N 11,109E
Suunta: 151,2°
Kallistuskulma: 68,0°
Tulonopeus: 20,6 km/s
Radiantin R,A,: 12:04 (181,2°)
Radiantin Dekl,: 75,5°
Meteoriparvi: Sporadinen
Meteoroidin rataelementit:
Perihelietäisyys: 0,963 AU
Eksentrisyys: 0,674
Inklinaatio: 23,9°
Nousevan solmun pituus: 341,0°
Perihelin argumentti: 201,6°
Keskianomalia: 356,8°
Epookki: 2019 MAR 02 04:24:48
orbit plot

Ei-interaktiivinen kuvaaja | Interaktiivinen kuvaaja

position vs time
speed and acceleration